Fig. 7
From: Thermal, vibrational, and electrical properties of high-purity Ag₂Te for advanced applications

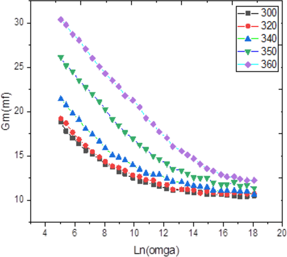
Frequency dependence of conductance Gm for Ag2Te poly crystalline at different temperatures.
From: Thermal, vibrational, and electrical properties of high-purity Ag₂Te for advanced applications

Frequency dependence of conductance Gm for Ag2Te poly crystalline at different temperatures.