Fig. 12

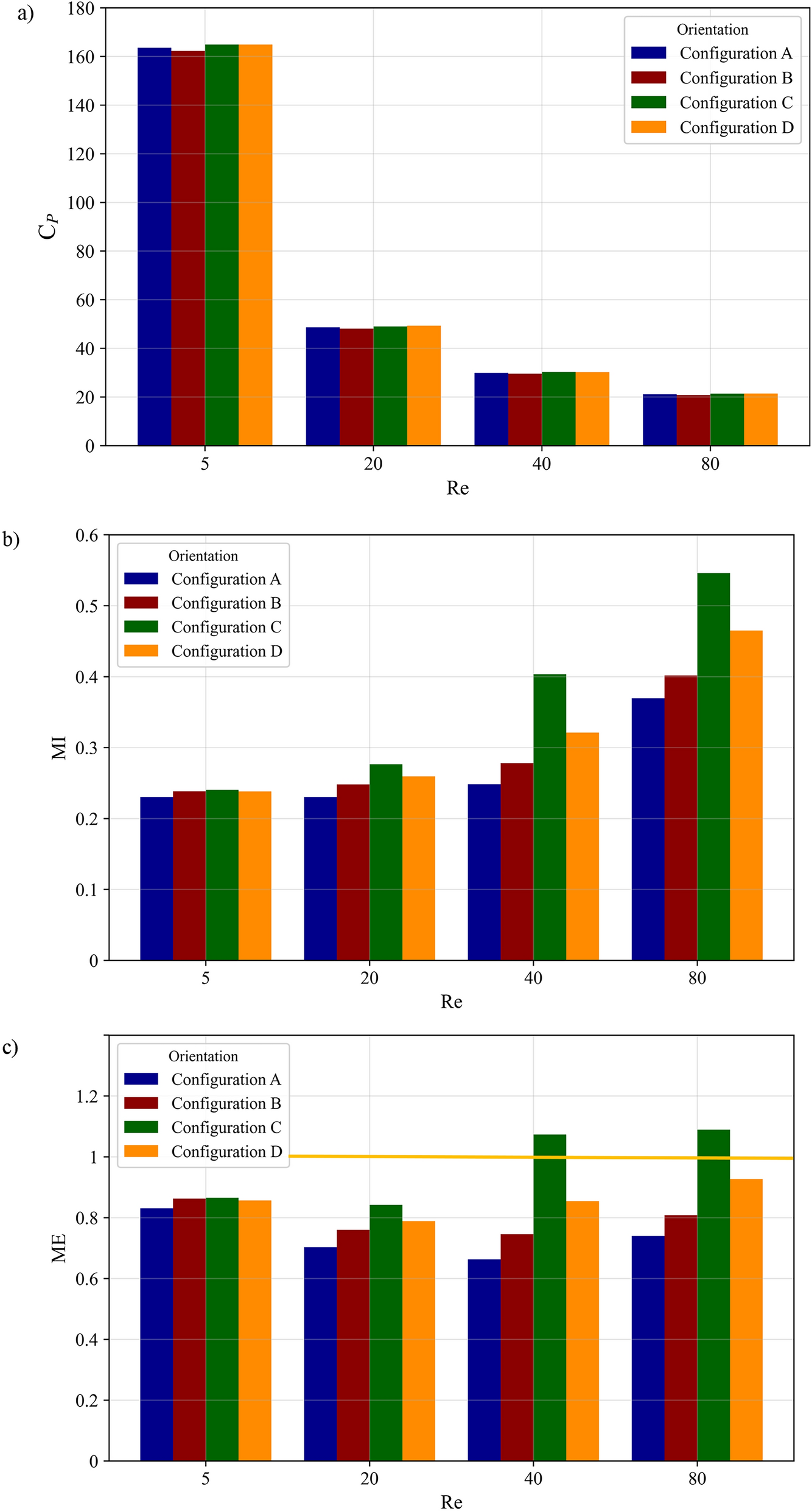
Effect of baffle configuration and Reynolds number on: (a) pressure drop coefficient, (b) mixing index, and (c) mixing efficiency in a single-unit microchannel at Sc = 1000.

Effect of baffle configuration and Reynolds number on: (a) pressure drop coefficient, (b) mixing index, and (c) mixing efficiency in a single-unit microchannel at Sc = 1000.