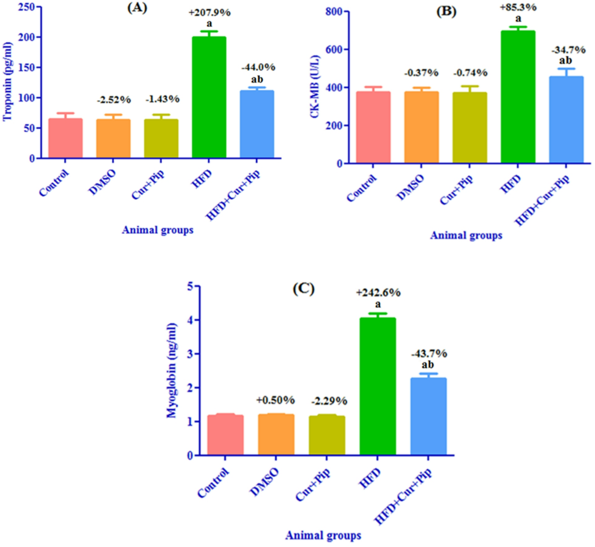
Fig. 5
From: Cardioprotective effects of curcumin and piperine against obesity induced oxidative stress in rats

Cardiac biomarkers in serum: troponin (A), CK-MB (B), and myoglobin (C) in control and various treatment groups. a: Significant difference compared to the control group (P ≤ 0.05). b: Significant difference compared to the HFD group (P ≤ 0.05).