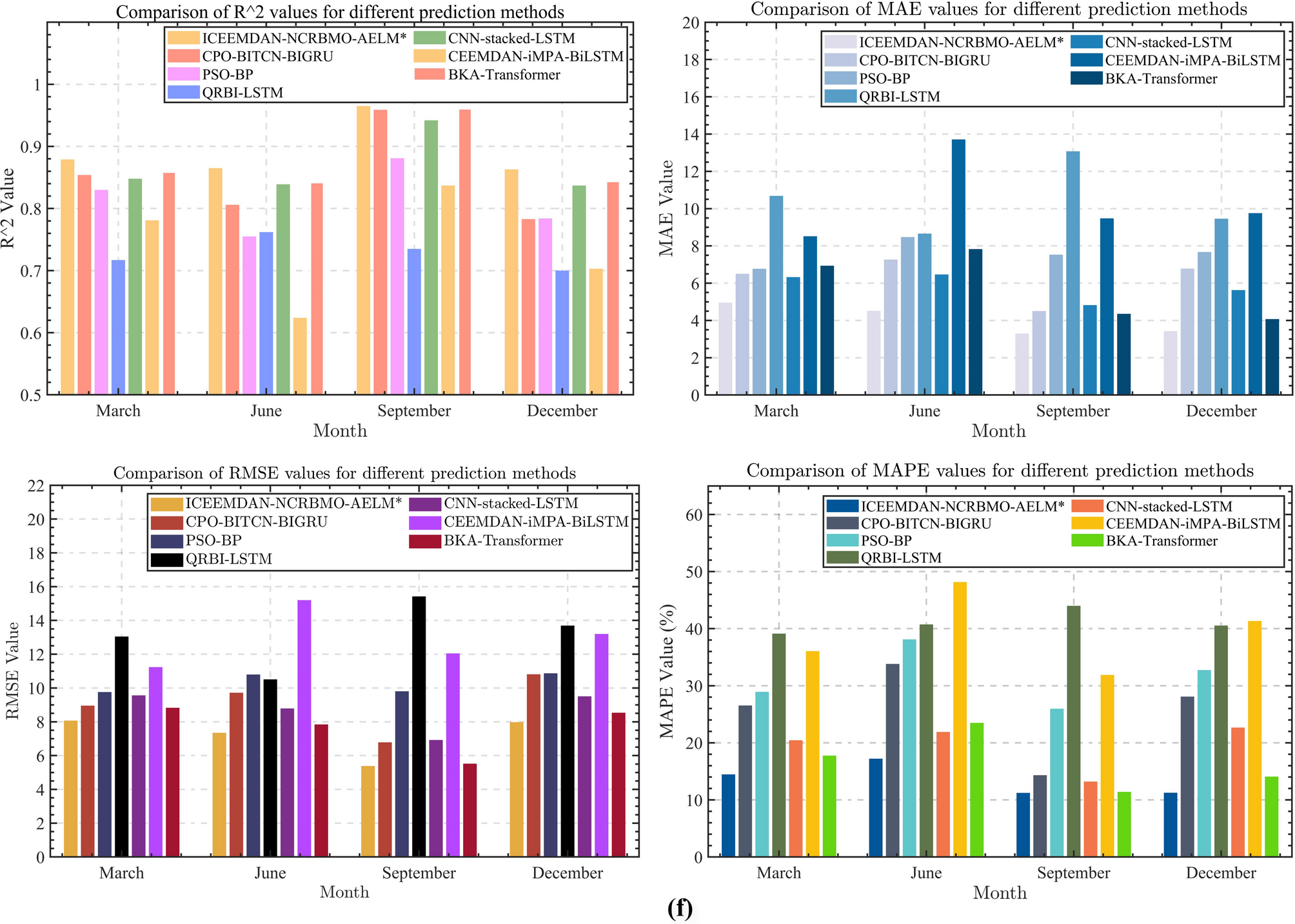
Fig. 8




Comparison of wind power forecast profiles across multiple seasons using ICEEMDAN-NCRBMO-AELM and other representative hybrid prediction approaches. (a) Results of ICEEMDAN decomposition on multi-seasonal wind energy production data. (b)-(e) Comparison of forecast curves for representative months. (f) Bar chart comparing the performance metrics for multi-seasonal forecasting between ICEEMDAN-NCRBMO-AELM and other representative hybrid prediction approaches on the validation dataset.