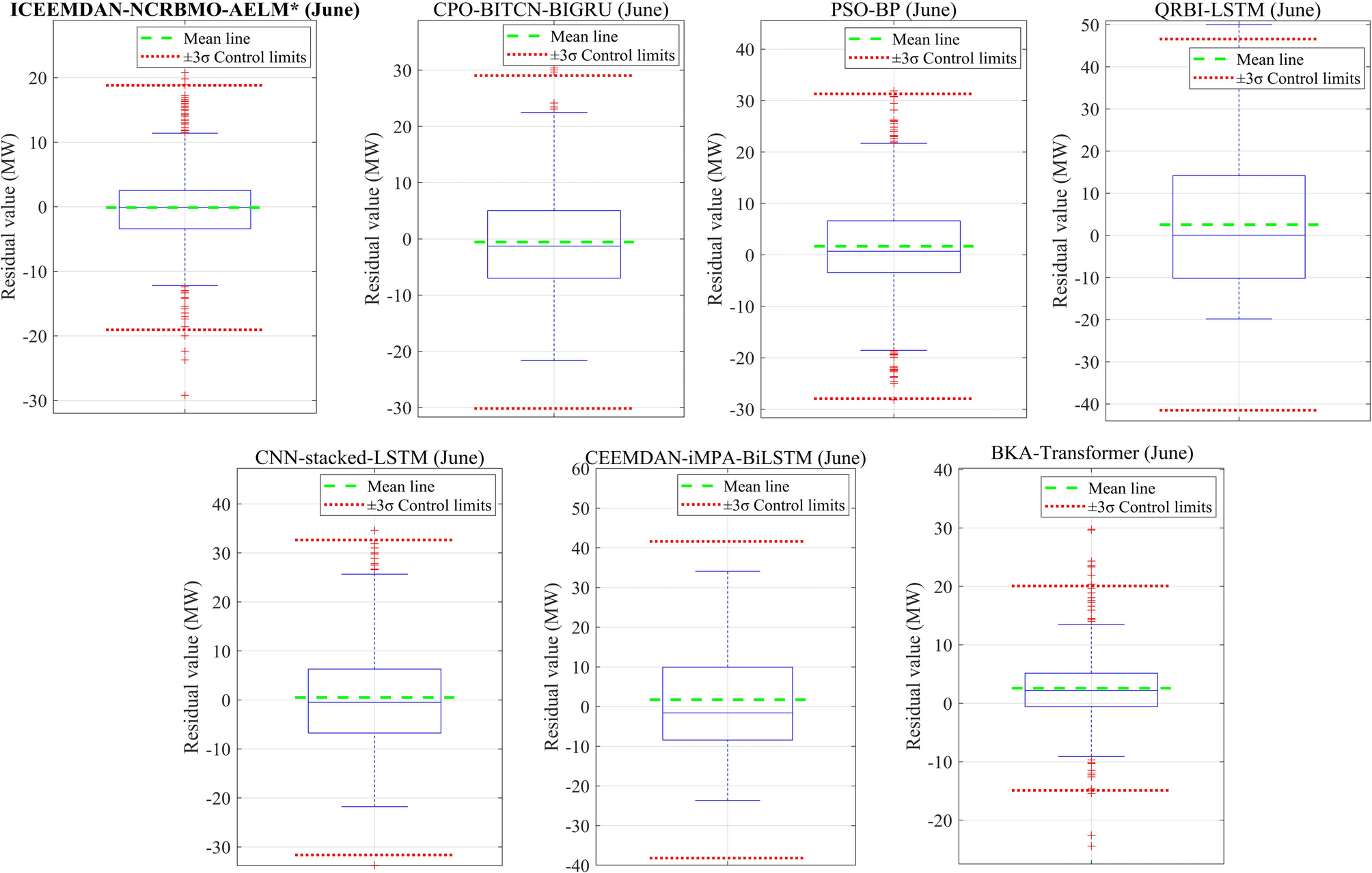
Fig. 9

Comparative analysis of residual box plots for diverse hybrid approaches based on June wind power data. Comparative analysis of residual box plots for diverse hybrid forecasting methods based on June wind power data. The green dashed line denotes the arithmetic mean of the residuals, while the red dotted line provides a reference based on the standard deviation σ. The interquartile range, represented by the box height, indicates the dispersion of the central 50% of the residuals. High-precision forecasting models are characterized by narrow boxes, with the median line positioned near zero or exhibiting minimal deviation.