Fig. 6
From: Identifying the necessary conditions for large populations to enhance cumulative culture

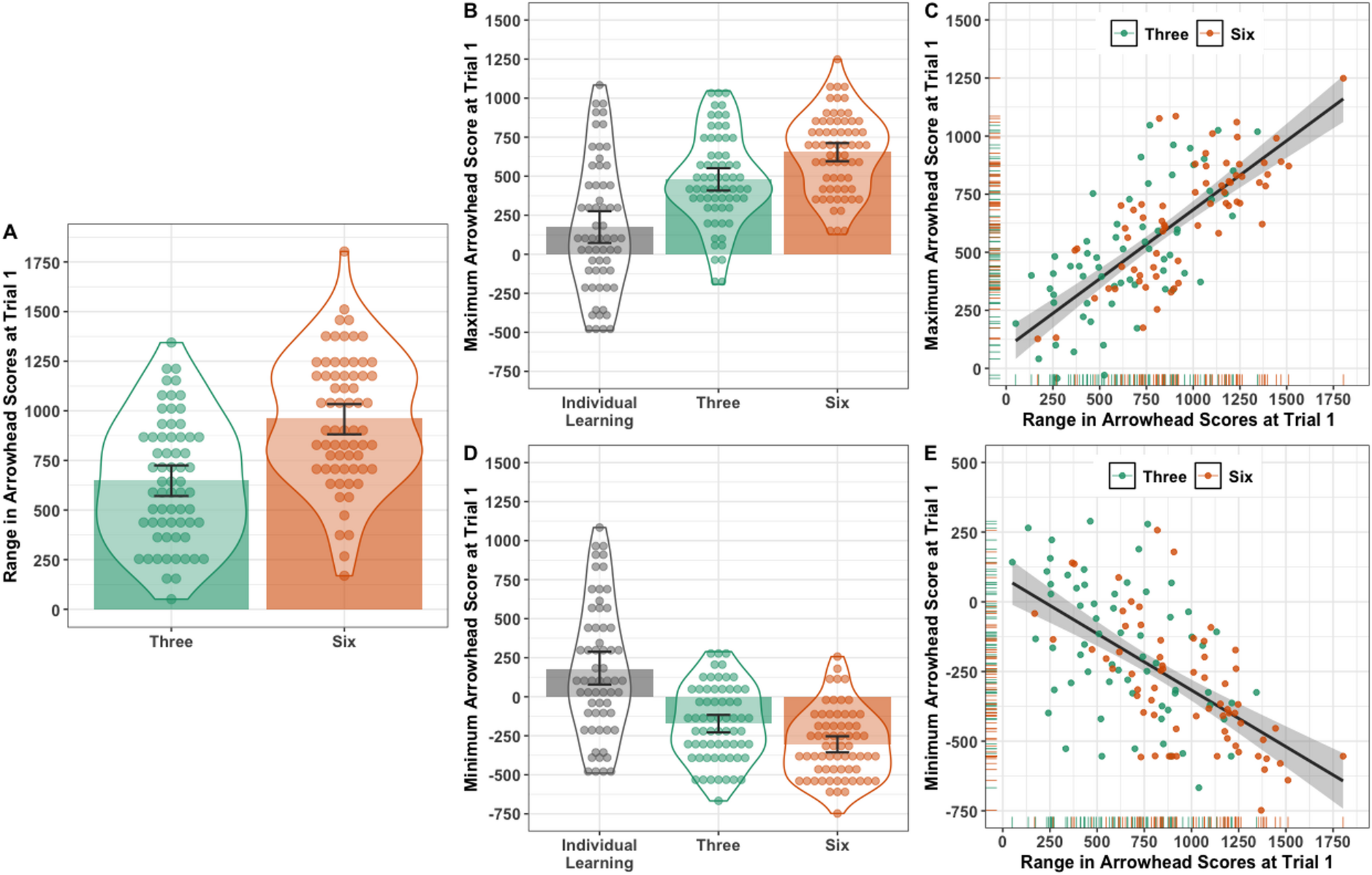
The data reported is from trial 1, i.e., prior to social learning. This ensured the Individual Learning and Social Learning conditions are comparable. (A) The variation in arrowhead performance (maximum minus minimum performance scores) in the 3- and 6-Person Social Learning conditions. The coloured bars indicate the mean variation score for each condition and the dot points indicate the arrowhead variation score for each group. Error bars are the bootstrapped 95% CIs. Only one arrowhead was produced in the Individual Learning condition so there was no variation score to report. (B) The maximum arrowhead performance scores and (D) the minimum arrowhead performance scores in the Individual Learning and in the 3- and 6-Person Social Learning conditions. The coloured bars indicate the mean maximum/minimum arrowhead performance score for each condition, and the dot points indicate the maximum/minimum arrowhead performance score for each group. Error bars are the bootstrapped 95% CIs. The correlation between the variation in arrowhead performance scores and (C) the maximum arrowhead performance scores and (E) the minimum arrowhead performance scores in the 3- and 6-Person Social Learning conditions. The dark gray straight line is the linear model fit, and the light gray shaded area is the bootstrapped 95% CI.