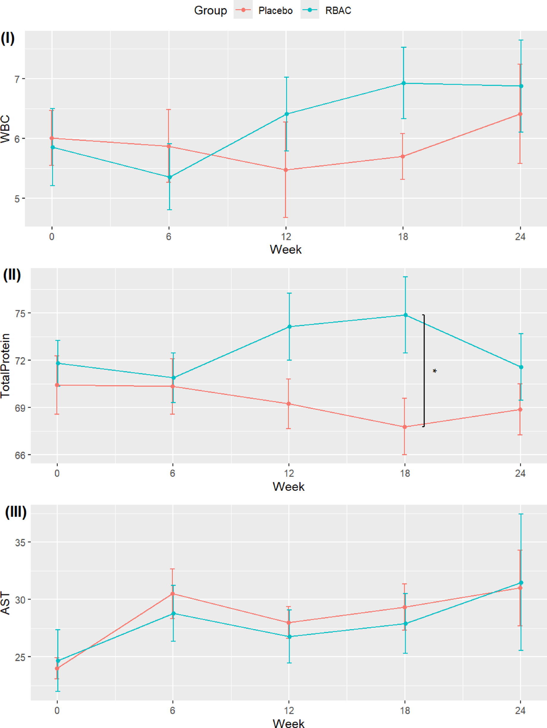
Fig. 5

Plots of (I) mean white blood cell count (WBC), (II) total protein, and (III) aspartate transferase (AST) for RBAC and placebo groups over time.*Significant difference p ≤ 0.05. RBAC = rice bran arabinoxylan compound.

Plots of (I) mean white blood cell count (WBC), (II) total protein, and (III) aspartate transferase (AST) for RBAC and placebo groups over time.*Significant difference p ≤ 0.05. RBAC = rice bran arabinoxylan compound.