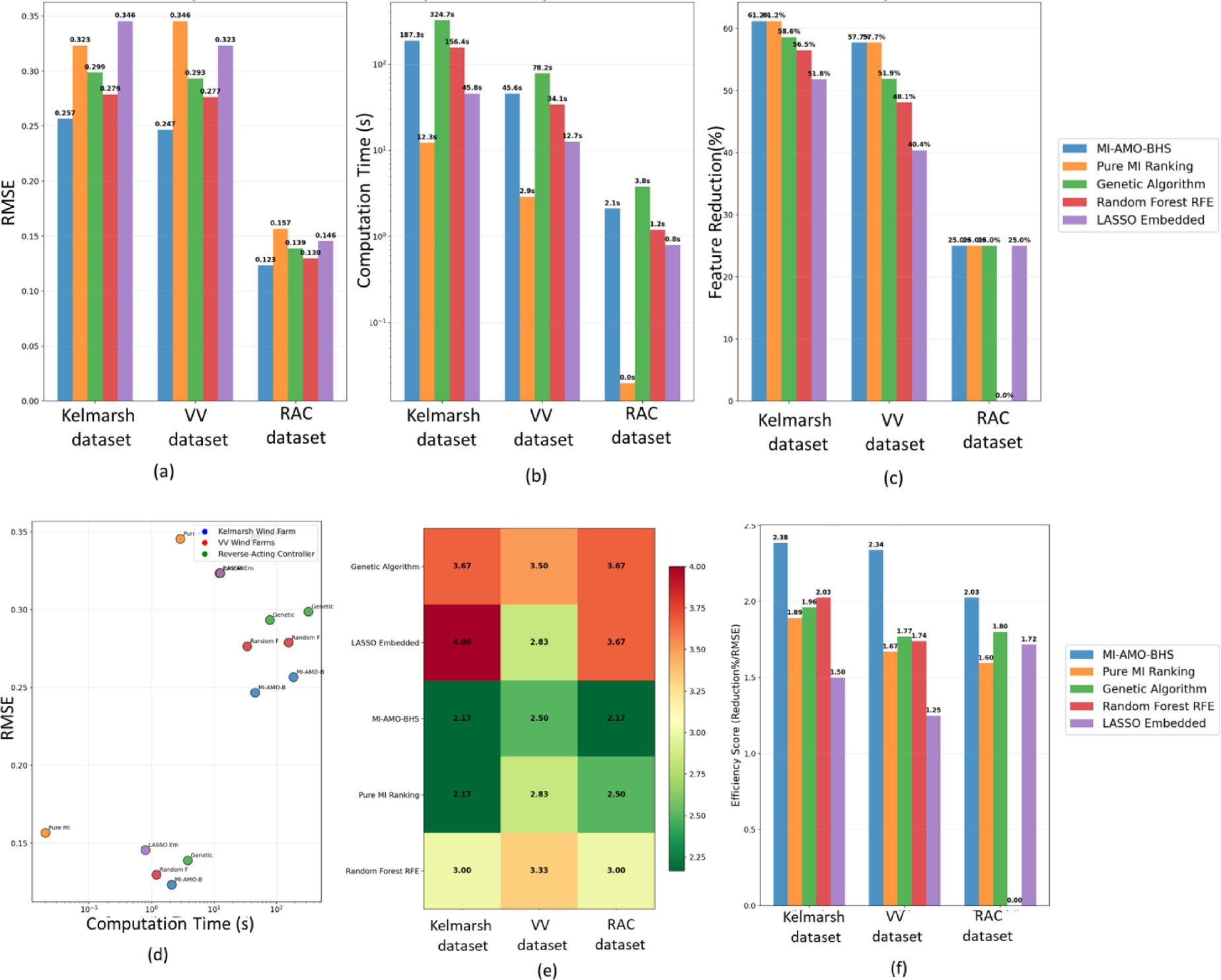
Fig. 9

(a) to (f): Performance comparison of FS across datasets: (a) RMSE, (b) computation time, (c) feature reduction percentage, (d) RMSE vs. computation time trade-off, (e) overall performance ranking, and (f) efficiency score. Results are exposed for MI.