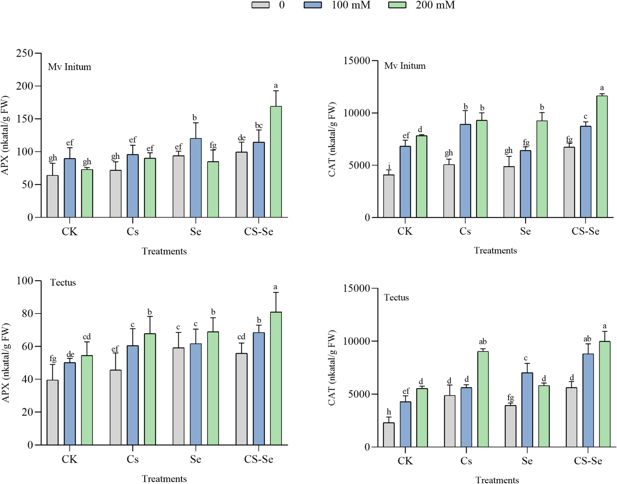
Fig. 3

The effect of Cs, Se and Cs–Se NPs on APX and CAT enzyme activities of two barley cultivars (Mv Initium, Tectus) under salt stress (0, 100 and 200 mM NaCl).

The effect of Cs, Se and Cs–Se NPs on APX and CAT enzyme activities of two barley cultivars (Mv Initium, Tectus) under salt stress (0, 100 and 200 mM NaCl).