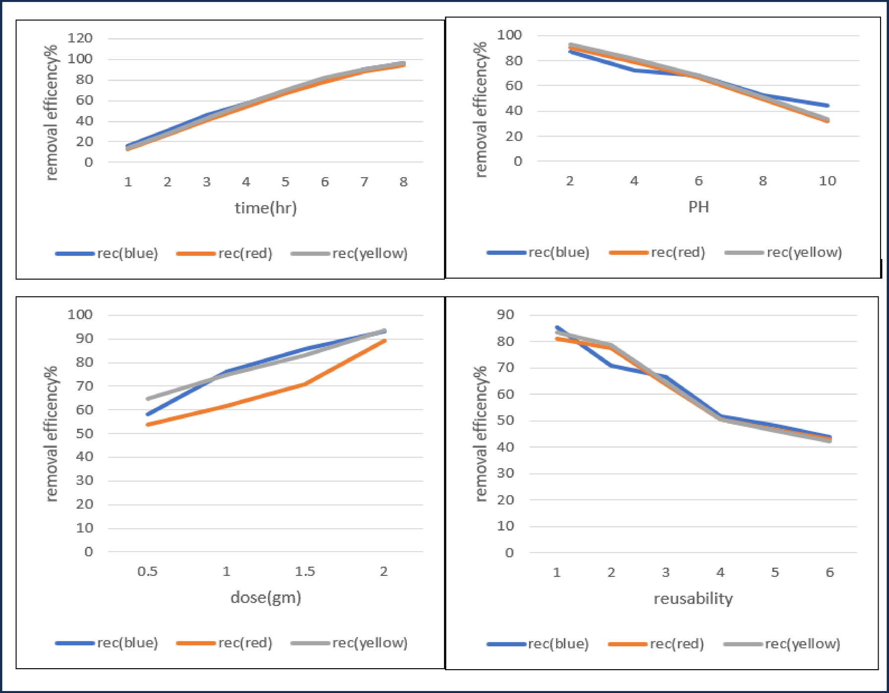
Fig. 9

Effect of time, PH, dose and reusability on the adsorptive removal efficiency MOF at constant PH 2, Time 8 h, adsorption temperature (25 °C), and shaking speed (150 rpm).

Effect of time, PH, dose and reusability on the adsorptive removal efficiency MOF at constant PH 2, Time 8 h, adsorption temperature (25 °C), and shaking speed (150 rpm).