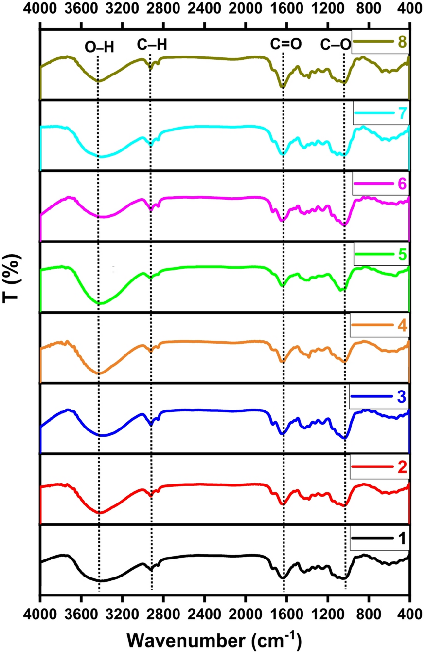
Fig. 1

FTIR of the used bio-sorbent particles; (1): Micron-sized porous particles-Calotropis procera (before bio-sorption), (2): micro-C. procera (before bio-sorption), (3): Micron-sized porous particles-Zygophyllum coccineum (before bio-sorption), (4): micro-Z. coccineum (before bio-sorption), (5): micro-Z. coccineum after treatment, (6): Micron-sized porous particles-Z. coccineum after treatment, (7): Micron-sized porous particles-C. procera after treatment, (8): micro-C. procera after treatment.