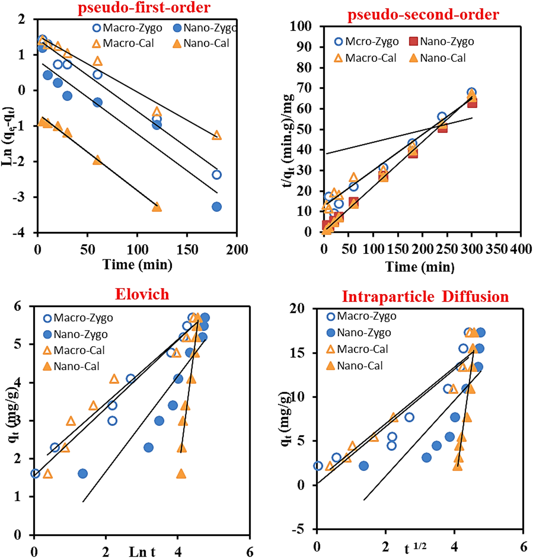
Fig. 7

Adsorption Kinetics Models (pseudo-first-order, pseudo-second-order, Elovich, and Intraparticle diffusion) for MB adsorption onto the used bio-sorbent (micro/Micron-sized porous particles-Zygo, micro/Micron-sized porous particles-Cal) particles at room temperature.