Fig. 1
From: Properties and inference of the Pareto Lomax distribution with applications to real data

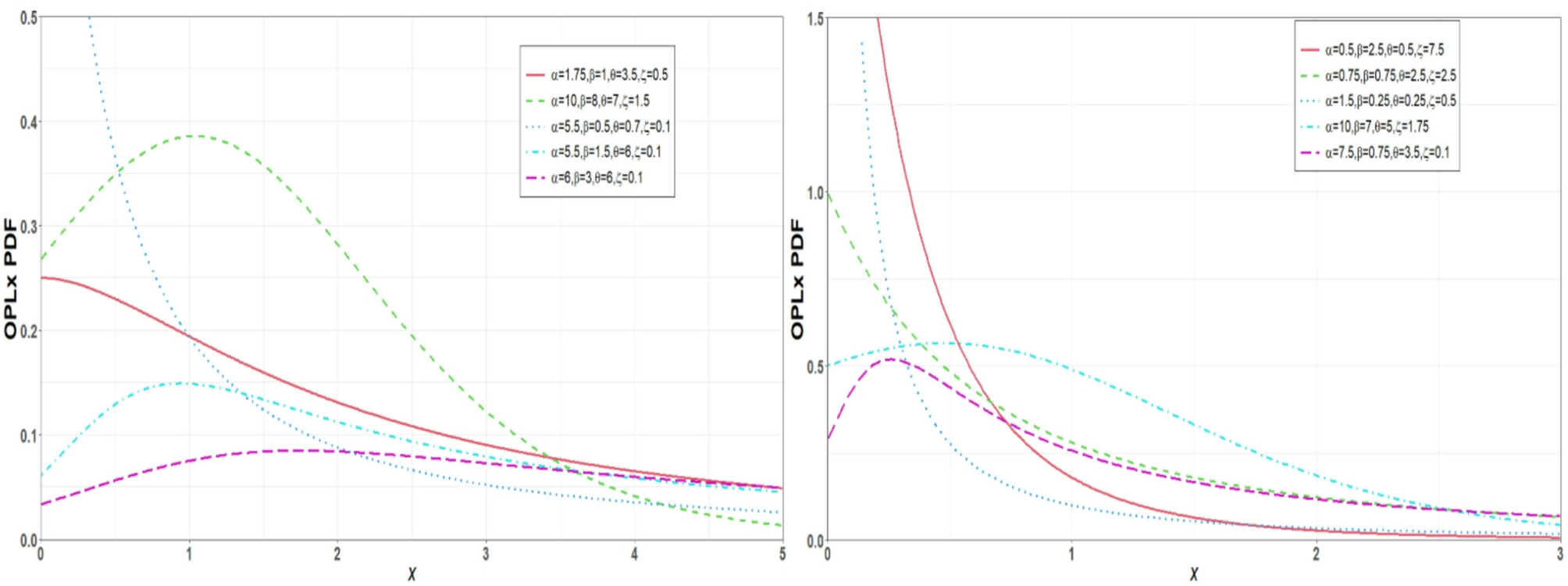
Plots of the PDF of the OPLx distribution for some parameter values.
From: Properties and inference of the Pareto Lomax distribution with applications to real data

Plots of the PDF of the OPLx distribution for some parameter values.