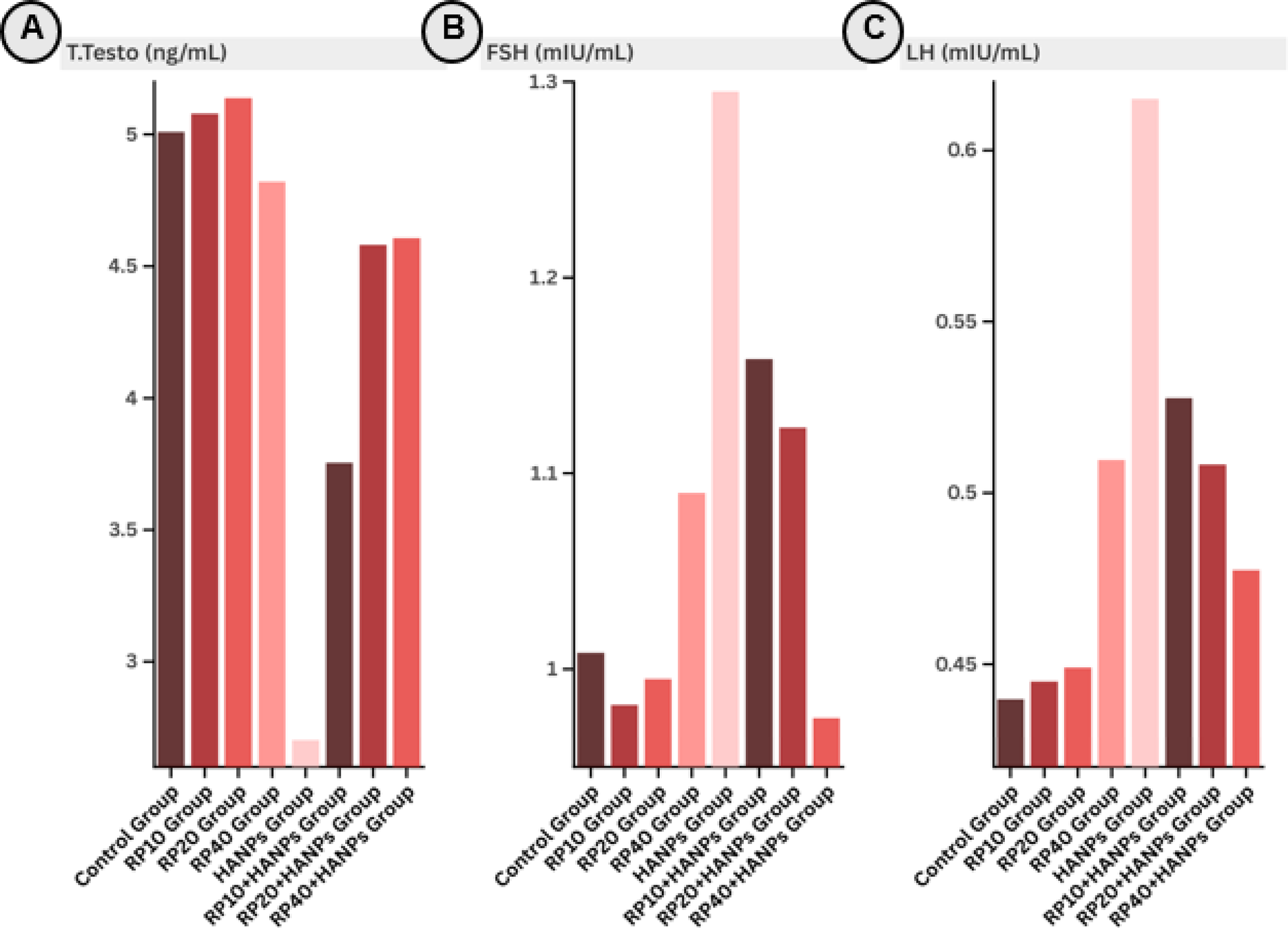
Fig. 2

Column chart showing reproductive hormone levels in the serum of the different studied groups: (A) testosterone, (B) follicle-stimulating hormone (FSH), and (C) luteinizing hormone (LH). HANPs: hydroxyapatite nanoparticles; RP: red pigment of Monascus purpureus.