Fig. 8
From: Bonding strength and fatigue survival of conventional, additive and subtractive complete dentures

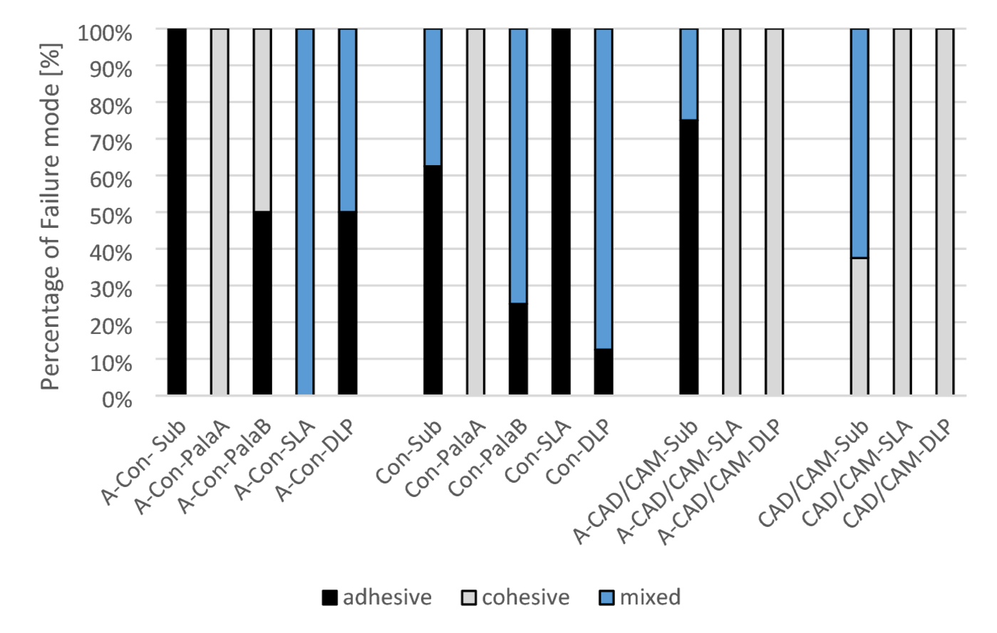
Proportion of adhesive fracture, cohesive fracture and mixed fracture for the different groups.
From: Bonding strength and fatigue survival of conventional, additive and subtractive complete dentures

Proportion of adhesive fracture, cohesive fracture and mixed fracture for the different groups.