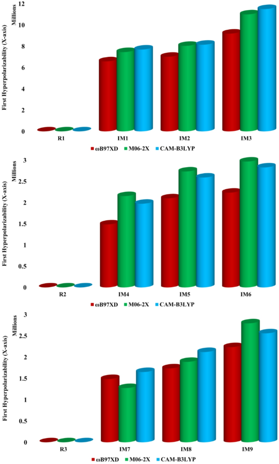
Fig. 6

The graphical representation of βtot (in a.u.) at M06-2X, ωB97XD, CAM-B3LYP, and B3LYP level of theory for all the designed molecules.

The graphical representation of βtot (in a.u.) at M06-2X, ωB97XD, CAM-B3LYP, and B3LYP level of theory for all the designed molecules.