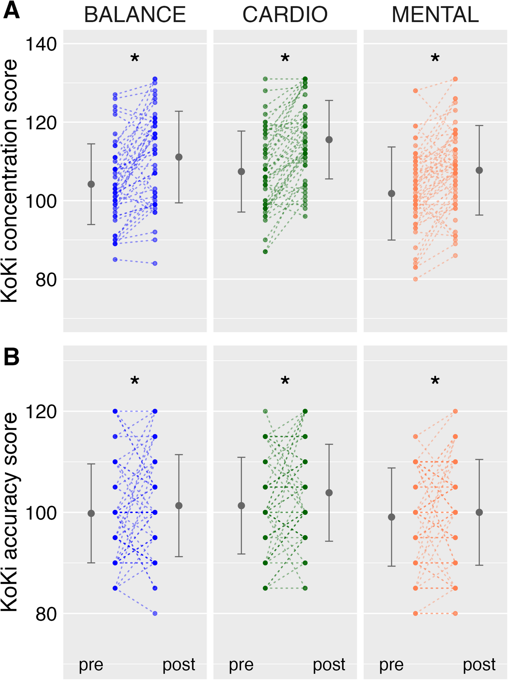
Fig. 2

Displays the data on cognitive function derived from the KoKi test, specifically for concentration (A) and accuracy (B) with age-appropriate normalized test scores for both the pre- and post-test assessments. A score of between 95 and 105 serves as a reference point, indicating the average performance level of the comparison group utilized for test validation, referred to as age norms. Outer large dots signify group mean values, with vertical lines representing the standard deviation of the grand mean. Inner smaller dots depict individual data points, and lines are used to connect the pre- and post-values of each child. Notably, darker colors of the smaller dots denote instances where two or more children share the same values. Asterisk indicate significant results.