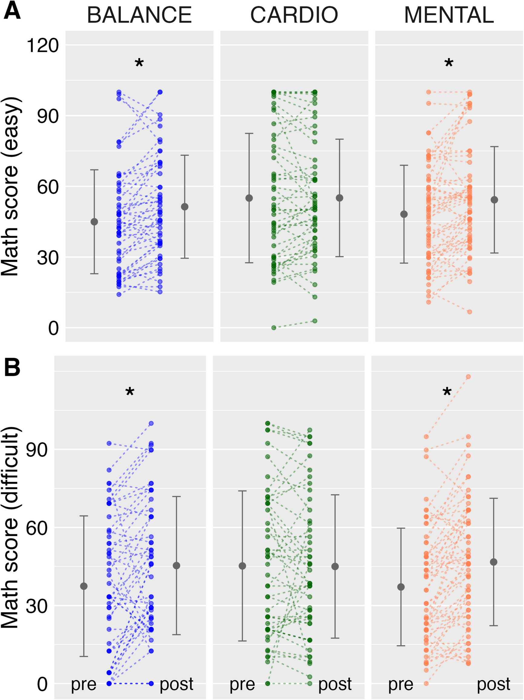
Fig. 3

Illustrates the test results on mathematics achievement, namely the success rate (percentage of correctly solved tasks) for the easy section (A) and the difficult section (B) of the test, for both the pre- and post-test. Group mean values are depicted by outer large dots, with vertical lines indicating the standard deviation of the grand mean. Individual data points are represented by inner smaller dots, and lines connect the pre- and post-values of each child. It’s important to note that darker colors of the smaller dots signify instances where multiple children share the same values. Asterisk indicate significant results.