Fig. 8
From: Efficacy of focused ultrasound for HPV clearance and cervical LSIL treatment: a meta-analysis

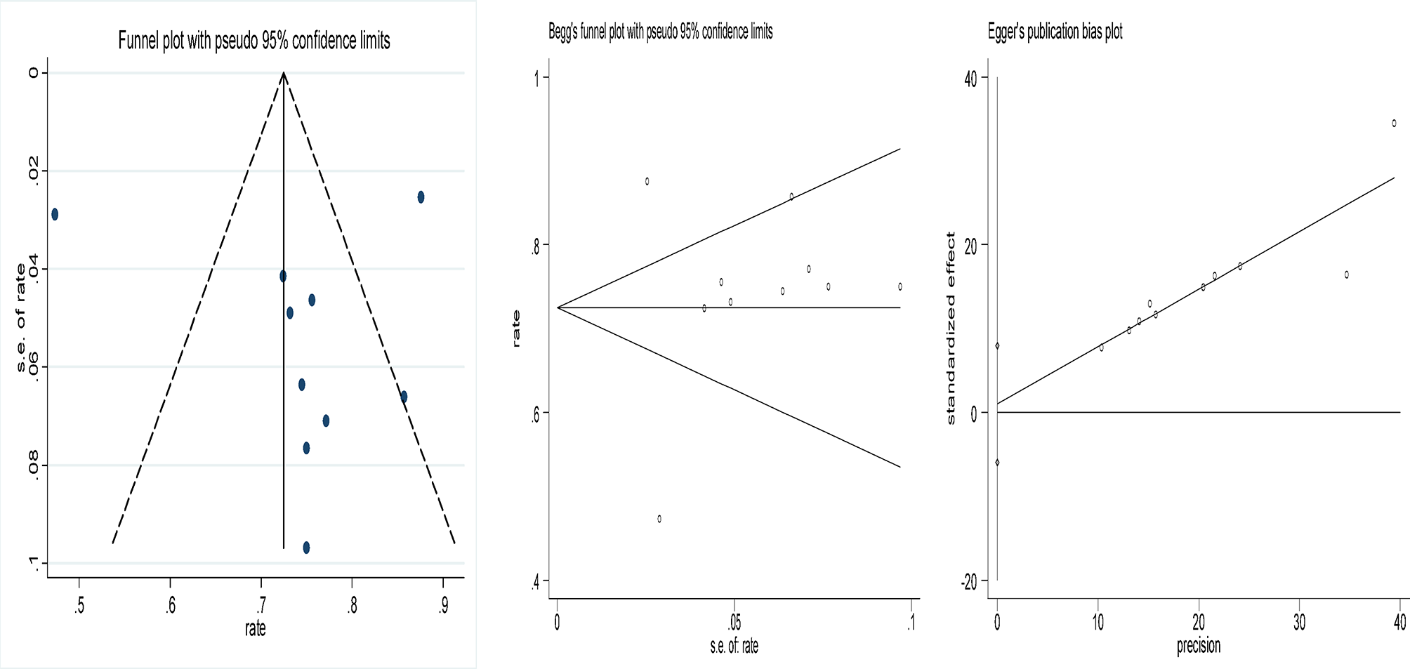
Funnel plot of clearance rate of cervical HPV after focused ultrasound treatment. Begg’s Test p = 0.858, Egger’s Test p = 0.751.
From: Efficacy of focused ultrasound for HPV clearance and cervical LSIL treatment: a meta-analysis

Funnel plot of clearance rate of cervical HPV after focused ultrasound treatment. Begg’s Test p = 0.858, Egger’s Test p = 0.751.