Fig. 9
From: Efficacy of focused ultrasound for HPV clearance and cervical LSIL treatment: a meta-analysis

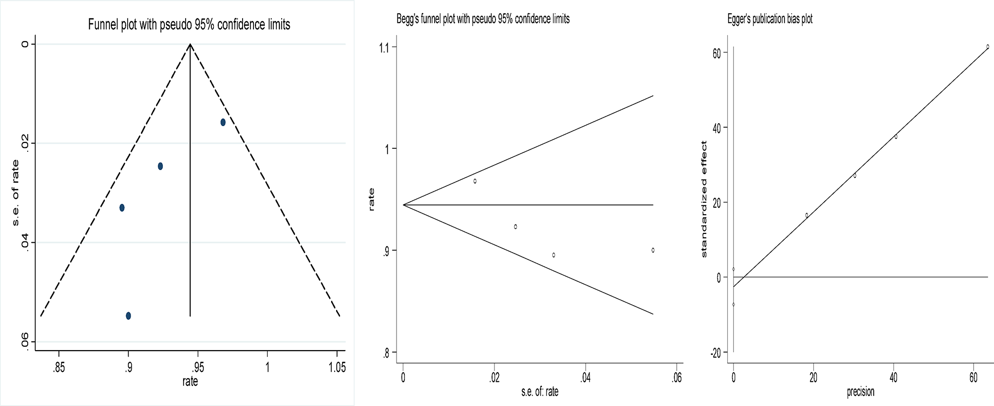
Funnel plot of resolution rate of LSIL after focused ultrasound treatment for cervical LSIL. Begg’s Test p = 0.734, Egger’s Test p = 0.137.
From: Efficacy of focused ultrasound for HPV clearance and cervical LSIL treatment: a meta-analysis

Funnel plot of resolution rate of LSIL after focused ultrasound treatment for cervical LSIL. Begg’s Test p = 0.734, Egger’s Test p = 0.137.