Fig. 6

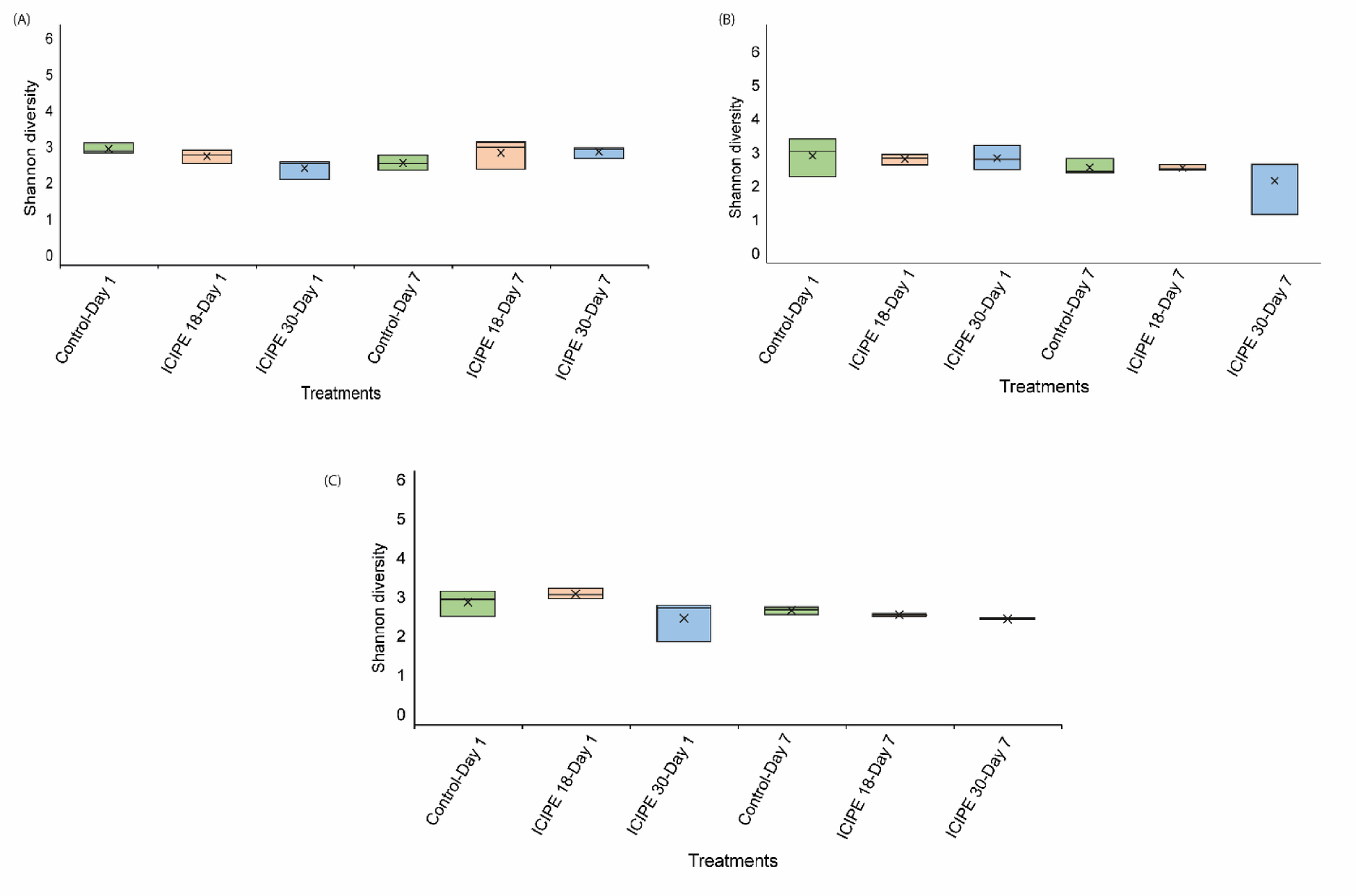
Alpha diversity of bacteria (Shannon-Wiener Index) in Spoladea recurvalis gut after exposure to Metarhizium anisopliae isolates ICIPE 30 and ICIPE 18 at 20 °C (A), 25 °C (B) and 30 °C (C).

Alpha diversity of bacteria (Shannon-Wiener Index) in Spoladea recurvalis gut after exposure to Metarhizium anisopliae isolates ICIPE 30 and ICIPE 18 at 20 °C (A), 25 °C (B) and 30 °C (C).