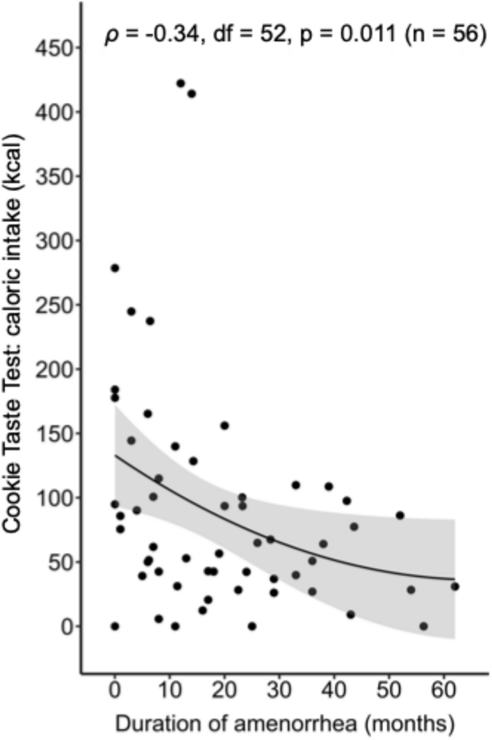
Fig. 3

Association between duration of amenorrhea since menarche and caloric intake during the Cookie Taste Test in individuals with low-weight eating disorders (LWEDs). Scatter plot displaying the association between duration of amenorrhea since menarche and caloric intake during the Cookie Taste Test in participants with LWEDs. A monotonic curve and 95% confidence interval were fitted to the raw (unadjusted) data. Spearman correlation statistics, adjusted for age and BMI, are stated.