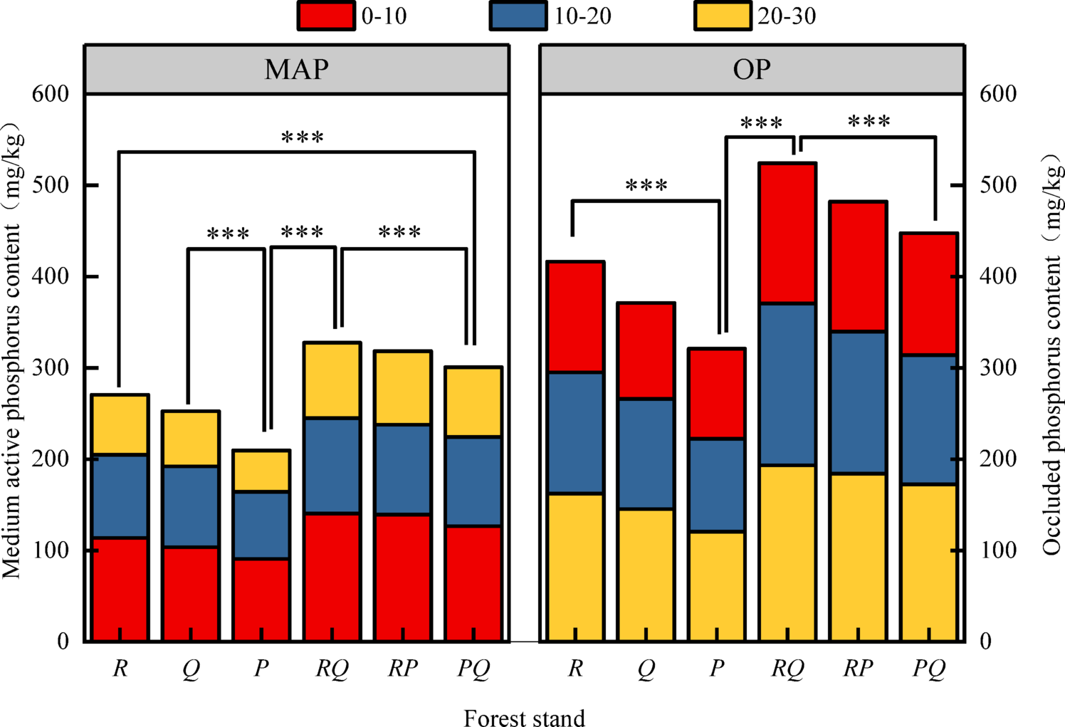
Fig. 4

Characteristics of medium active phosphorus and occluded phosphorus in soils. Values are mean ± SE (n = 3 plots). Different lowercase letters above bars indicate significant differences among forest types within the same soil depth (P < 0.05, one-way ANOVA). Abbreviations: MAP, moderately active phosphorus; OP, occluded phosphorus; other abbreviations as in Fig. 1.