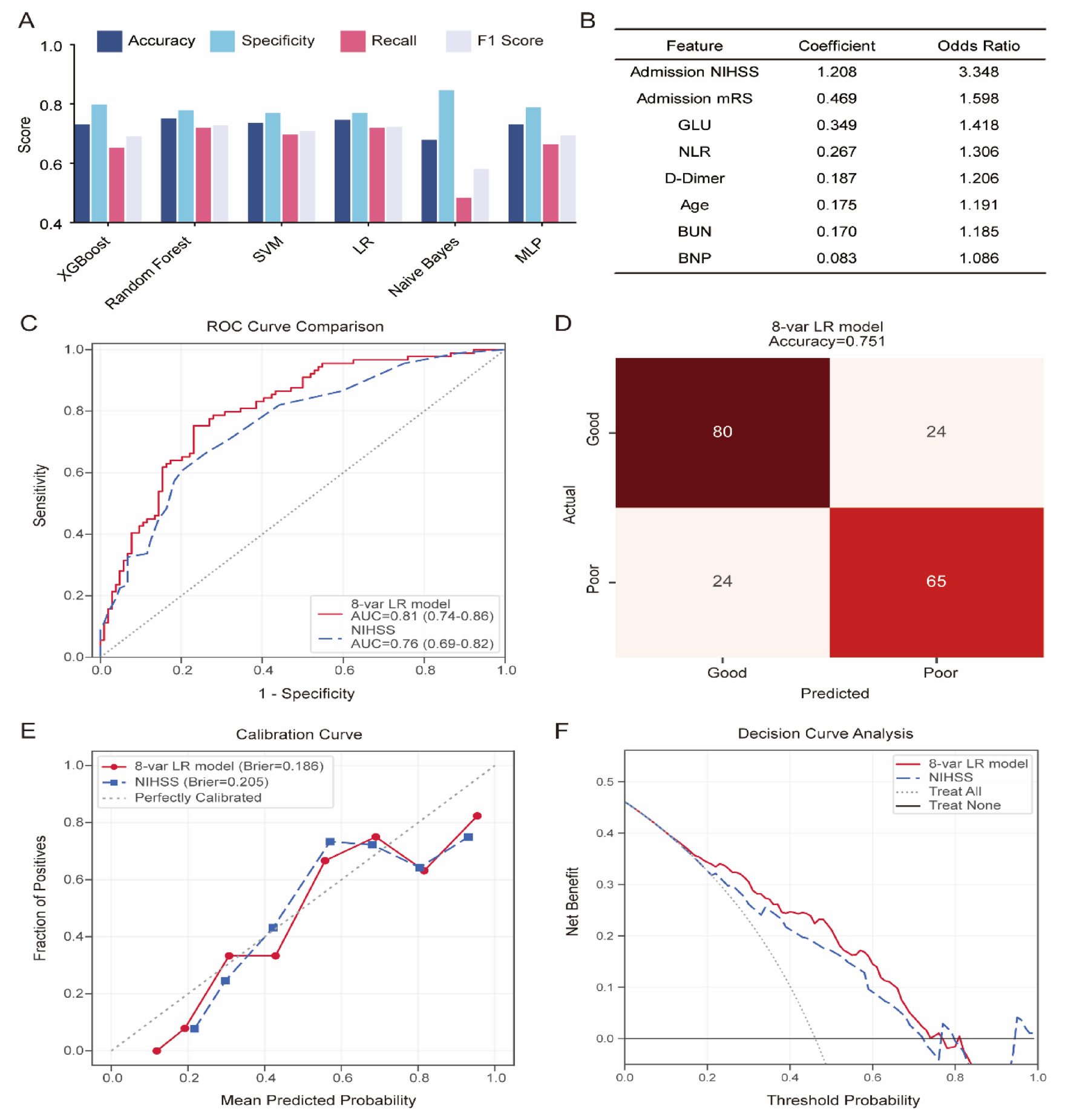
Fig. 3

Model development and performance evaluation in the derivation cohort. (A) Comparison of performance metrics across six machine learning algorithms in the internal test set. (B) coefficients and odds ratios for each predictor in the logistic regression (LR) model. (C) Receiver Operating Characteristic (ROC) curves comparing the LR model against the admission NIHSS score alone in the internal test set. (D) Confusion matrix of the LR model in the internal test set. (E) Calibration curves of the LR model and admission NIHSS score. (F) Decision Curve Analysis (DCA) comparing the net benefit of the LR model, admission NIHSS score, and “treat-all”/“treat-none” strategies.