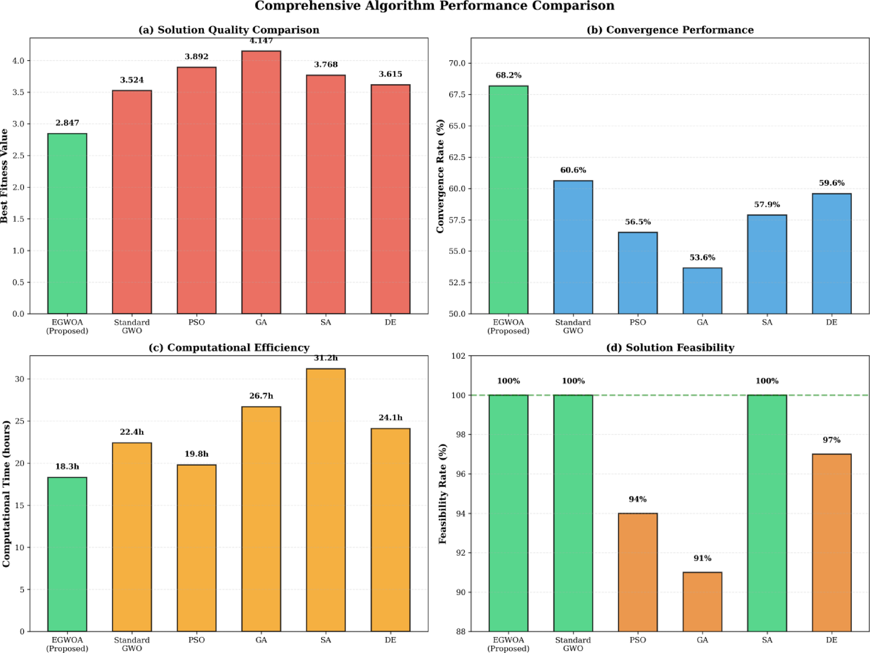
Fig. 4

Comparison of optimization algorithms based on average performance metrics from 30 independent runs: (a) mean best fitness, (b) average convergence rate, (c) mean computational time, (d) feasibility rate.

Comparison of optimization algorithms based on average performance metrics from 30 independent runs: (a) mean best fitness, (b) average convergence rate, (c) mean computational time, (d) feasibility rate.