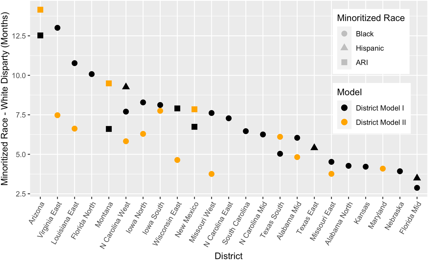
Fig. 2: Significant race-based sentencing disparities in federal judicial districts.

We calculate the average sentencing disparity in months for defendants who are Black (circles), Hispanic (triangles), and another racial identity (ARI, squares), each as compared to white defendants. There are two sets of results. The first set comes from a regression model (District Model I, black symbols) that includes defendant demographics (age, sex, and educational attainment), sentencing year, presence of a guilty plea, relevant cell on the U.S. sentencing grid, presence of a mandatory minimum, presence of government-sponsored downward departures, and the interaction of judicial district and defendant race. In this model, all terms except for the interaction derive from nationwide data. For example, this model assumes that all districts, on average, apply the U.S. sentencing grid in the same way. For the second set of results (District Model II, orange symbols), we partition the same data by judicial district, and within each district perform a regression that includes the other aforementioned variables, as well as race. This model allows for variations in grid application, defendant demographics, and more. For each model, we present racial disparities unexplained by other factors that are statistically significant (p < 0.05 with Bonferroni adjustment). See Table 3 for estimates of the three racial disparities under each of the two modeling frameworks and see “Discussion” for the interpretation of these disparities vis-a-vis disparate impact and differential treatment of minoritized individuals. The analysis is based on N = 518,721 sentencing records. Model diagnostics, including F-statistics, the associated degrees of freedom, the associated p-values, as well as raw and adjusted r2 values appear in our permanent data repository (Topaz, 2023). Each of these F-statistic p-values is numerically indistinguishable from zero. For District Model I, the adjusted r2 value is 0.88. For District Model II, the adjusted r2 values range from 0.70 to 0.91 with a median of 0.83.