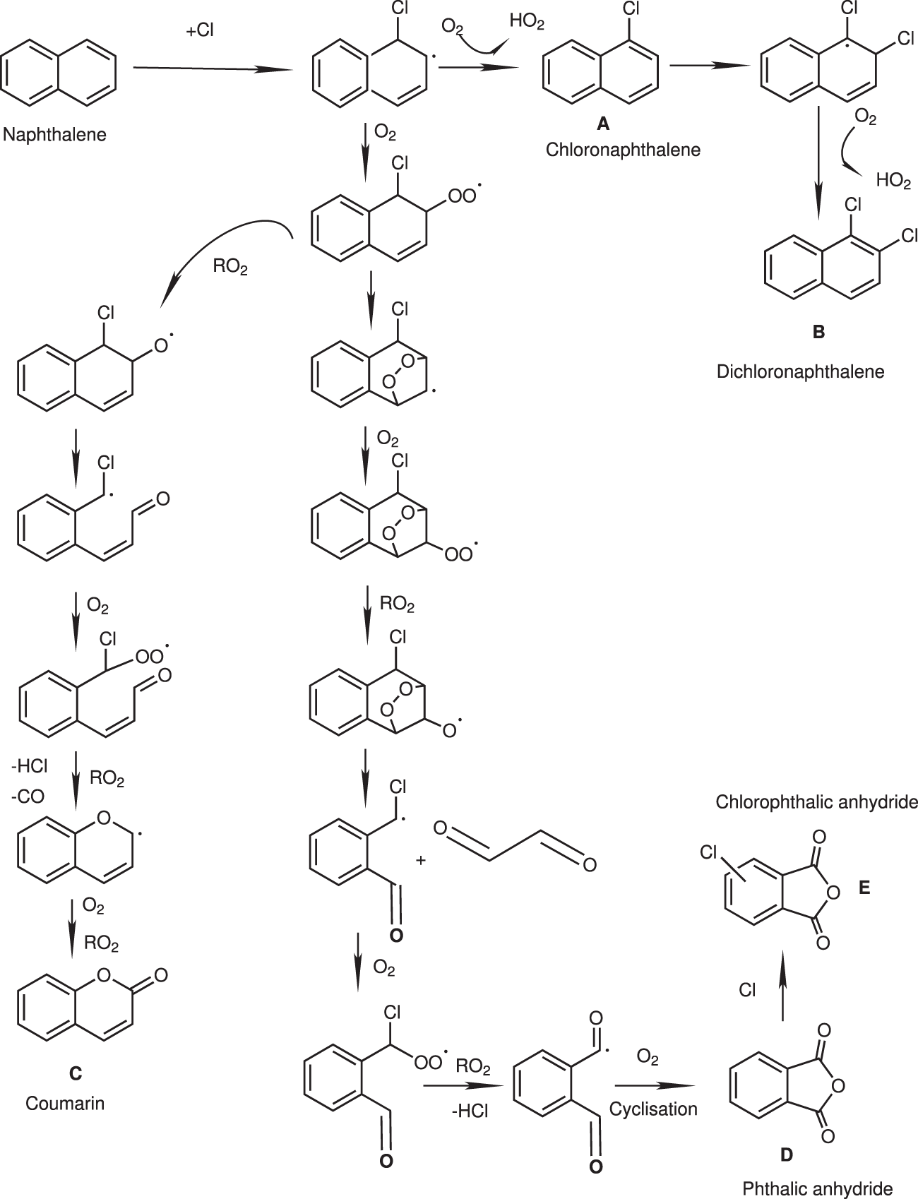
Fig. 4: Formation pathways for the Cl atom-initiated oxidation of naphthalene.
From: Formation of secondary organic aerosols from anthropogenic precursors in laboratory studies

A–E represent the products observed in both gas and particulate phase (based on the reaction scheme provided by Riva et al.91).