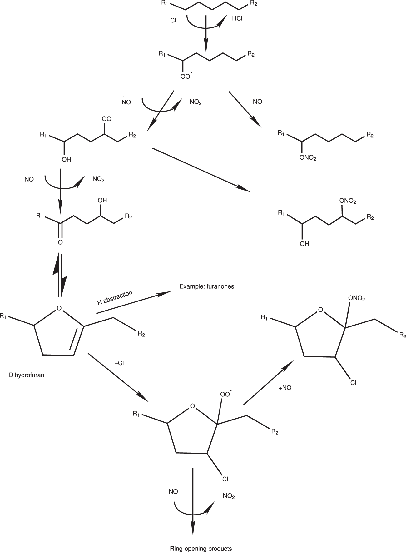
Fig. 5: Formation pathway for the reaction of alkanes with Cl atoms to form chlorinated organics.
From: Formation of secondary organic aerosols from anthropogenic precursors in laboratory studies

R1 and R2 represent alkyl groups (based on the reaction scheme provided by Wang and Hildebrandt Ruiz94).