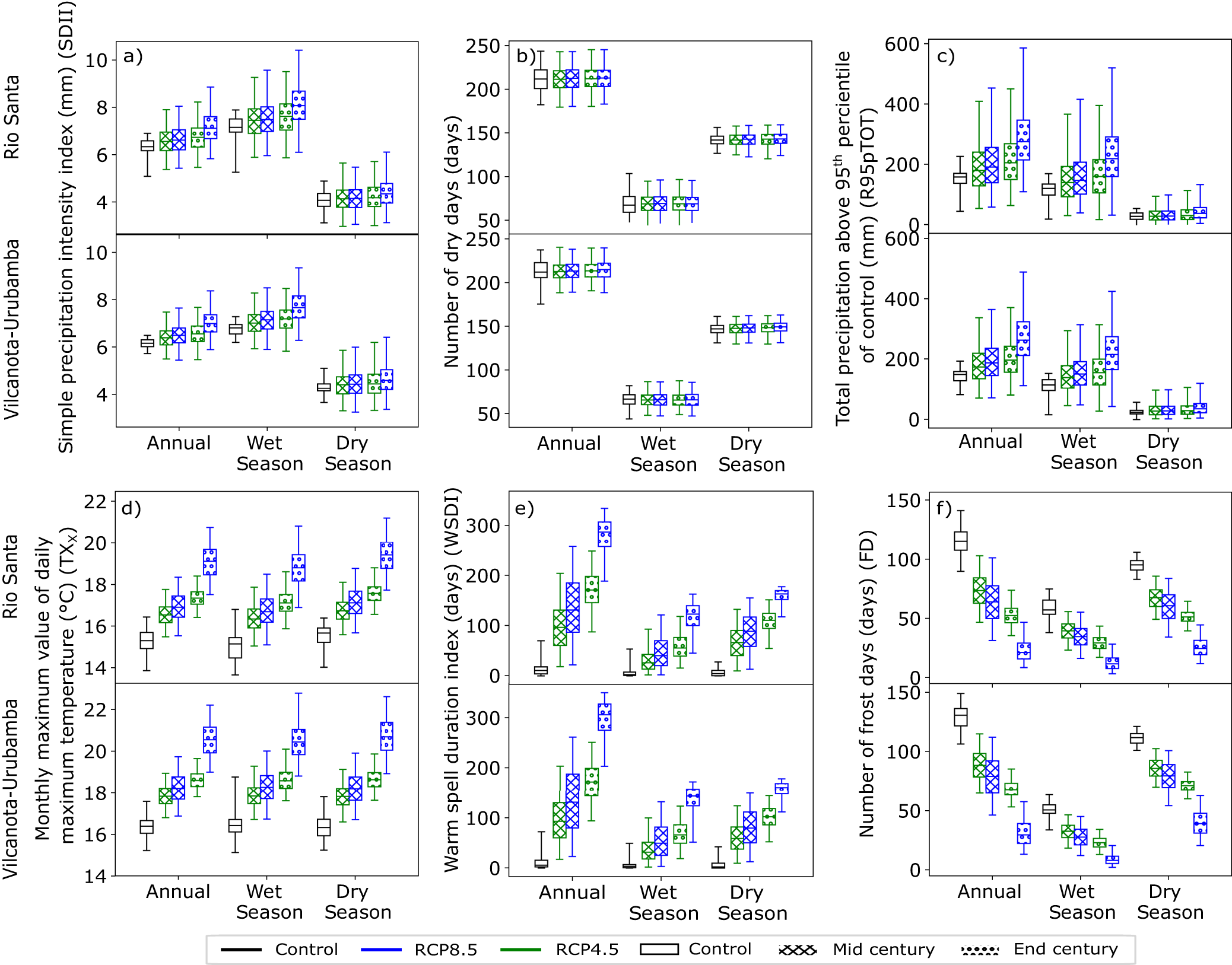
Fig. 3: Future change in temperature and precipitation climate indices.
From: A future of extreme precipitation and droughts in the Peruvian Andes

Box and whisker plots of basin-averaged precipitation and temperature ETCCDI (Expert Team on Climate Change Detection and Indices) for the Rio Santa (top in each pair) and Vilcanota-Urubamba (bottom of each pair) regions for the control period (1980–2018; black boxes), as well as the mid- (2022–2060; hatching) and end of- (2062–2100; dots) 21st century for RCP4.5 (green boxes) and RCP8.5 (blue boxes) emissions scenarios. Results are shown annually, as well as for wet (November to April) and dry (May to October) seasons. For the control period, the middle of the box shows median year from the bias-corrected WRF hindcast, the top (bottom) of the box shows the 75th (25th) quantiles, and the top (bottom) of the whisker shows the maximum (minimum) year. For the future period boxes, the multi-model mean is taken for each quantile from the statistically downscaled CMIP5 models. Panel (a) shows the average precipitation on wet days (SDII), (b) shows the number of dry days, (c) shows the total precipitation falling on days above the 95th quantile of the control period (R95pTOT), (d) shows the monthly maximum of daily maximum temperature (TXx), (e) shows the warm spell duration index (i.e., days where at least six consecutive days fall above the 90th percentile of the control period) (WSDI), (f) shows the number of frost days (FD).