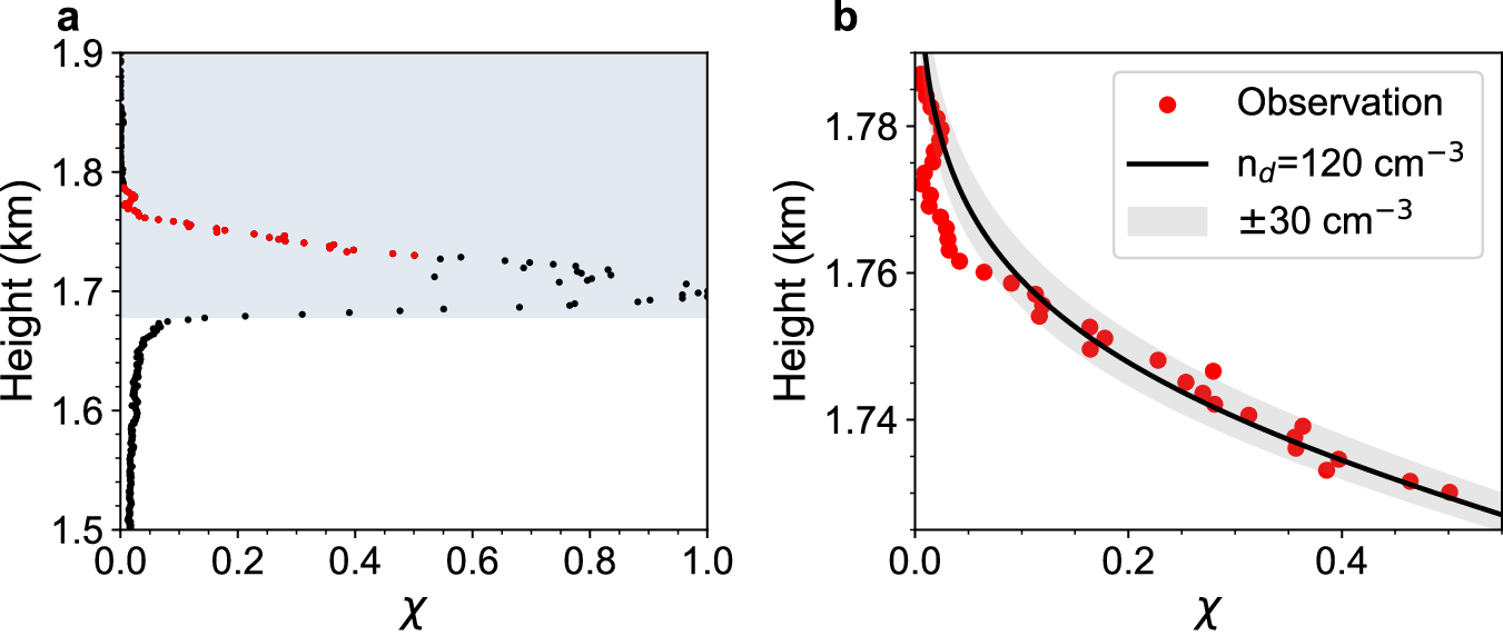
Fig. 4: Nd estimates from T2 lidar observation.

a The threshold ratio χ vs. height based on Fig. 1c. The white-gray boundary indicates the estimated cloud base height where the rate of increase in χ with height is maximized. The red dots for χ between 0.5% and 50% are used to independently estimate nd via Eq. (12). b Best fitted curve suggests nd ≈ 120 cm−3. The gray region indicates ±30 cm−3 from the best fit, where the upper bound associates with smaller nd.