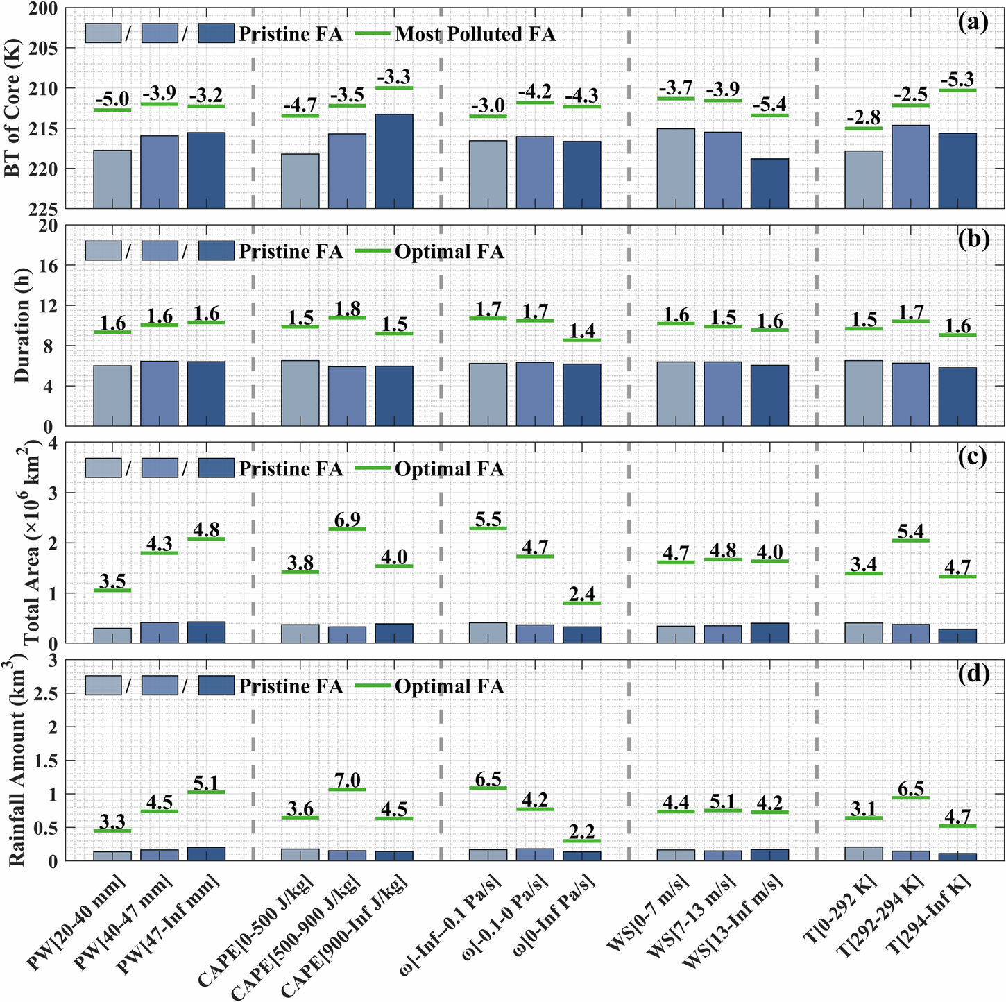
Fig. 6: Effect of fine aerosol on tracked deep convection systems at different fixed meteorological bins over land.

The a–d indicate BT of core, lifetimes, total areas, and rainfall amounts of DCS over land. The light blue, medium blue, and dark blue represent the value of DCS’s parameters under pristine fine aerosol (FA) conditions (cleanest 1% of fine aerosols), in low, middle, and high values of meteorological factors bins, respectively. Green marks in Fig. 6b–d (Fig. 6a) represent the value of DCS’s parameters under optimal (most polluted 5%) fine aerosol conditions. The number on the green marks represents the specific changes in value in a and the multiple variations in b–d. The ranges for the bins of the five meteorological factors: precipitable water (PW), convective available potential energy (CAPE), vertical velocity at 450 hPa (ω), wind shear of 850–200 hPa (WS), and temperature at 850 hPa (T) are noted in parentheses.