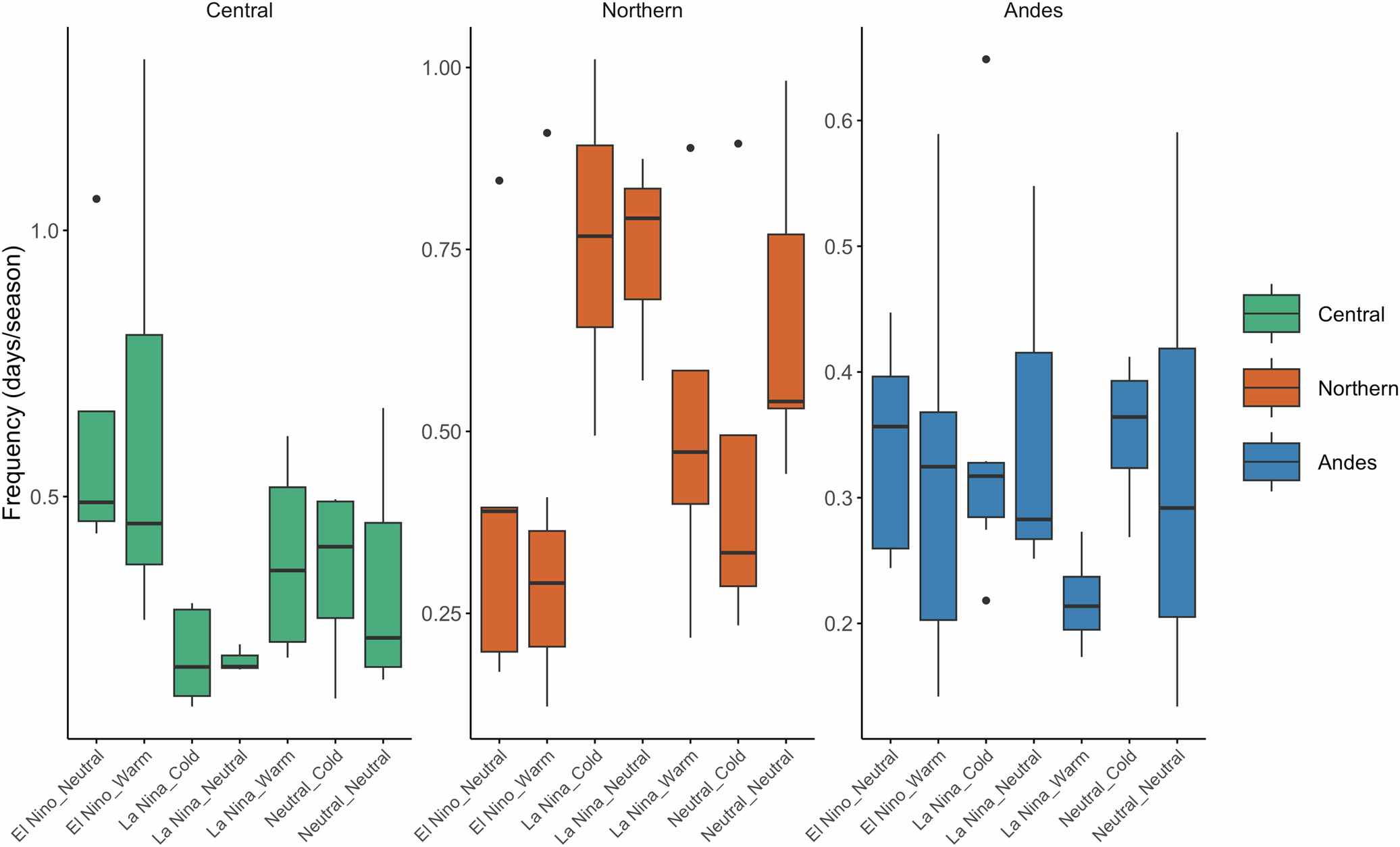
Fig. 11: Seasonal frequency of extreme precipitation events of LLJs during ENSO-PDO phases.
From: Pacific decadal oscillation and ENSO forcings of northerly low-level jets in South America

The boxplots represent the distribution of frequencies during different phases of the ENSO and PDO from 1981 to 2021. El Niño plus Cold PDO is excluded due to insufficient samples during this period. The green, orange, and blue colors correspond to a Central, b Northern, and c Andes LLJs, respectively. The central line within each box plot indicates the median frequency, while the edges of the box mark the interquartile range (IQR). Whiskers extend to the 1.5*IQR, and outliers are represented by individual points.