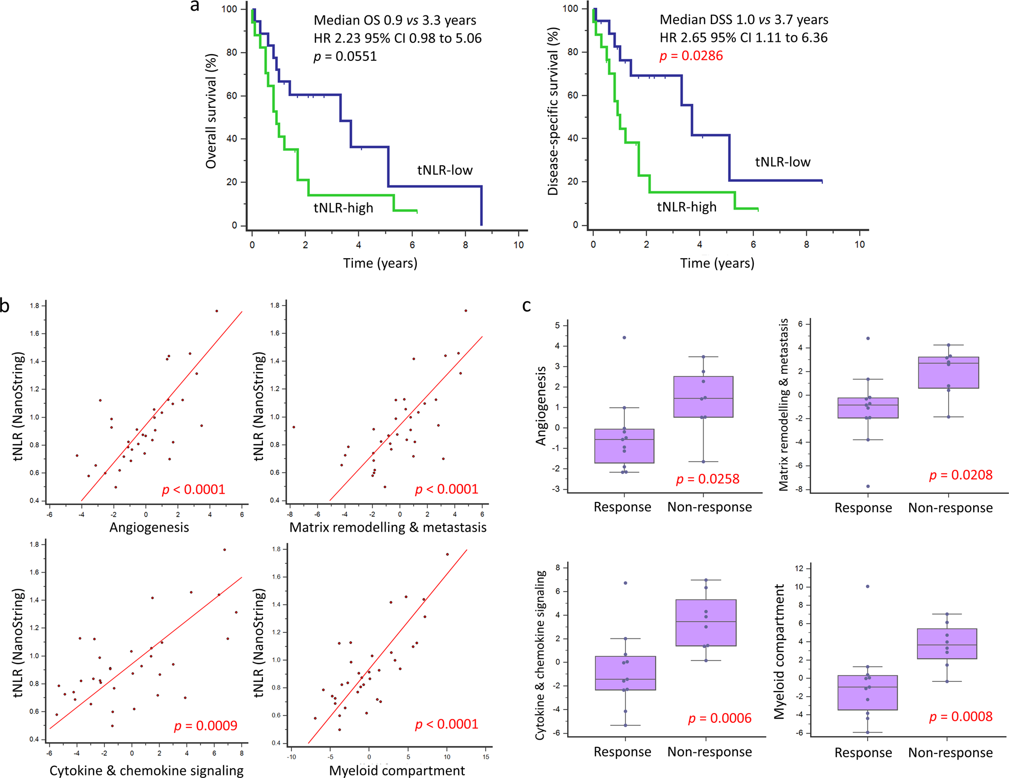
Fig. 6: Correlation of tNLR with oncogenic signaling pathways and survival outcomes.
From: Clinical implications of systemic and local immune responses in human angiosarcoma

a Similar to peripheral blood NLR, high tNLR scores conferred worse survival outcomes (OS: HR 2.23, 95%CI 0.98–5.06, p = 0.0551); DSS: HR 2.65, 95%CI 1.11–6.36, p = 0.0286). b tNLR correlated positively with oncogenic pathway scores including angiogenesis (rho = 0.664, p < 0.0001), matrix remodeling and metastasis (rho = 0.666, p < 0.0001), and cytokine and chemokine signaling (rho = 0.538, p = 0.0009), as well as myeloid compartment scores (rho = 0.689, p < 0.0001). c In patients with non-response to first-line palliative chemotherapy (SD or PD), scores for angiogenesis (p = 0.0258), matrix remodeling and metastasis (p = 0.0208), cytokine and chemokine signaling (p = 0.006), and myeloid compartment (p = 0.008) were all significantly higher compared to responders.