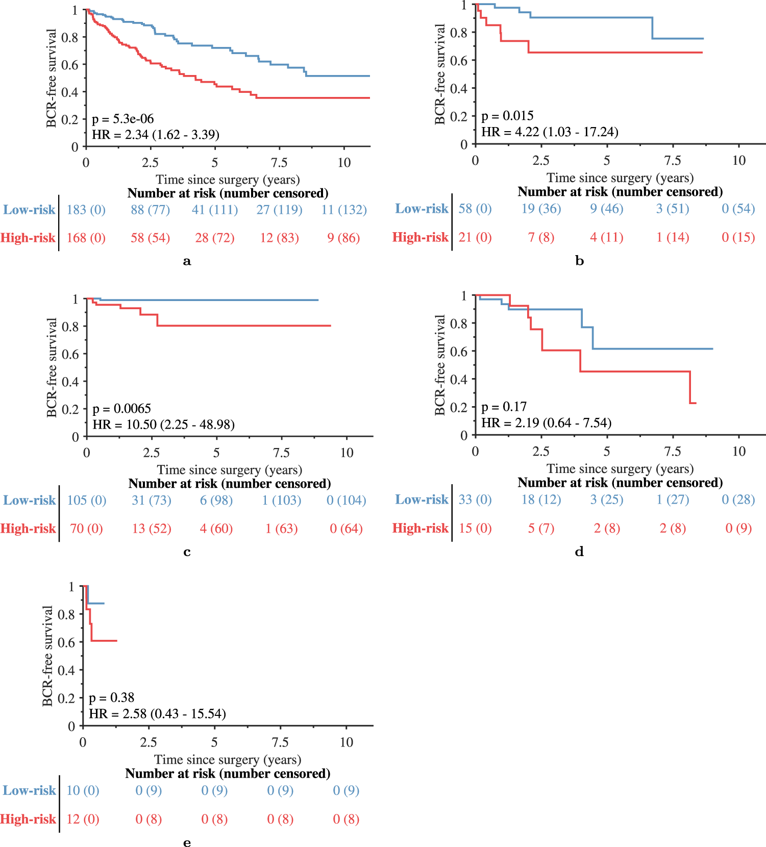
Fig. 3: Kaplan-Meier BCR-free survival plots of patients from each site.

Patients from a UPenn, b WCM, c TCGA, d UTurku, and (e) MS are categorized as (blue) low-risk and (red) high-risk.

Patients from a UPenn, b WCM, c TCGA, d UTurku, and (e) MS are categorized as (blue) low-risk and (red) high-risk.