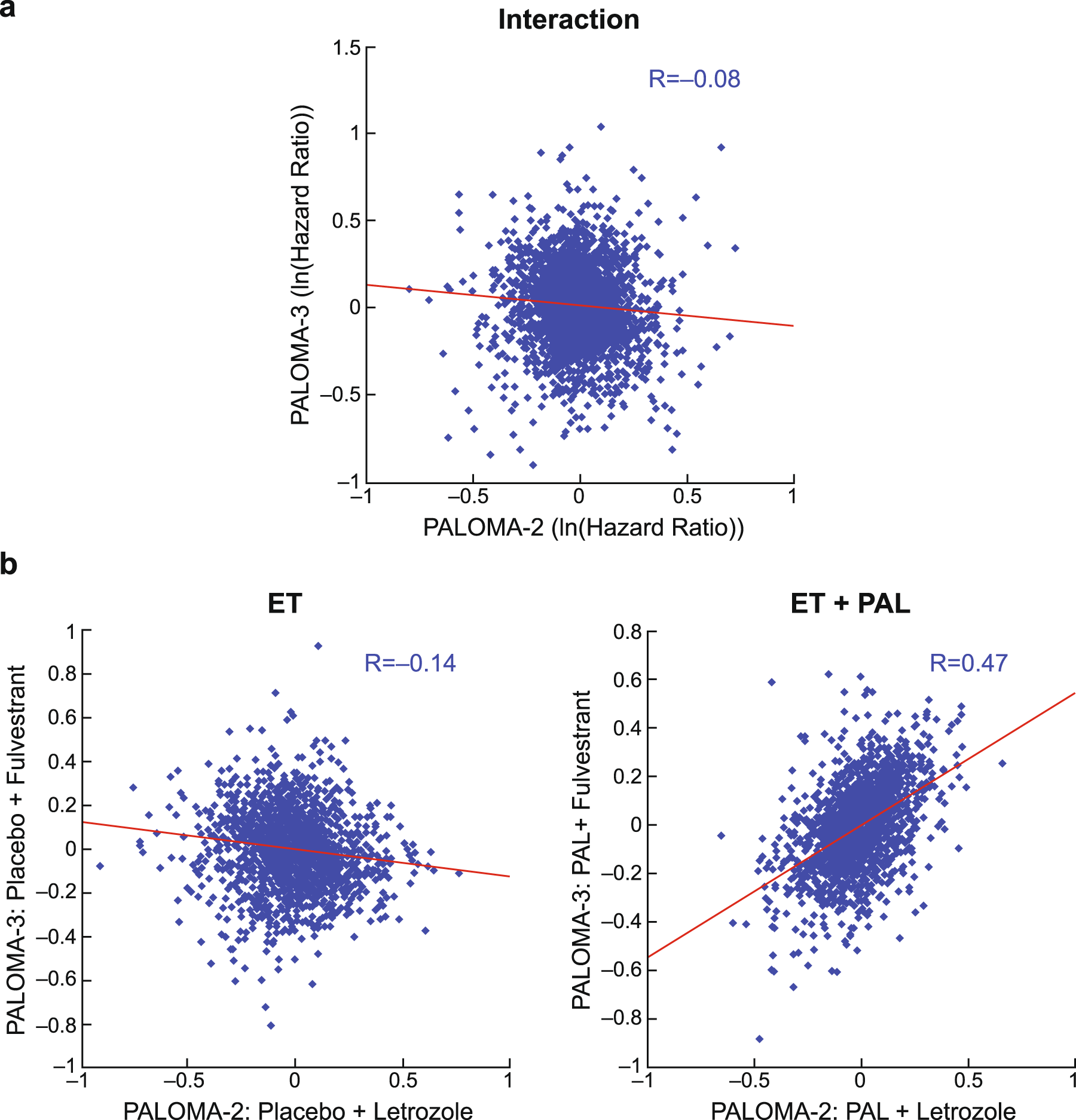
Fig. 2: Lack of correlation in predictive biomarker pattern between PALOMA-2 and PALOMA-3 appears driven by poor concordance in the ET arm.
From: Comparative biomarker analysis of PALOMA-2/3 trials for palbociclib

Each data point corresponds to a gene on the EdgeSeq Oncology panel. R-value in the plots refers to Pearson correlation. a Comparison of gene expression/treatment effect interaction (dependency) in predicting PFS across the two trials. Plotted are interaction coefficient values (i.e. ln(Hazard Ratio)). b Comparison of gene expression/PFS association within each treatment arm (ET, left panel; ET plus palbociclib, right panel) across the two trials. ET endocrine therapy; PAL palbociclib; PFS progression-free survival.