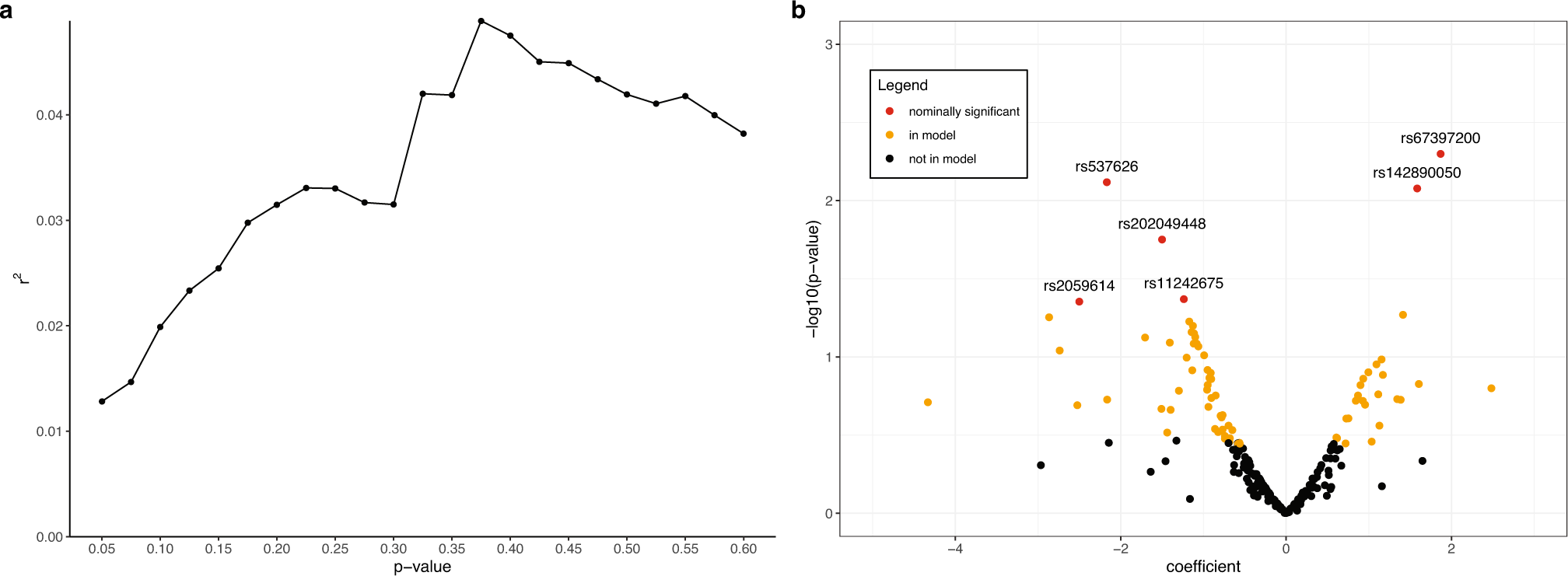
Fig. 2: Development of the polygenic risk score for the risk of recurrence score weighted on proliferation (ROR-P PRS).
From: Development and testing of a polygenic risk score for breast cancer aggressiveness

a We performed 5-fold cross-validation to identify the optimal p-value threshold for including single nucleotide polymorphisms (SNPs) in the ROR-P PRS. The r2 is shown for each p-value threshold tested. Our final PRS used a p-value cutoff of 0.375. b Volcano plot of associations of 226 SNPs with ROR-P, adjusted for genetic ancestry (principal components 1–10) and study. SNPs included in the final 76-SNP PRS score are indicated in red (nominally significant association with ROR-P) and orange (not nominally significant but included in model).