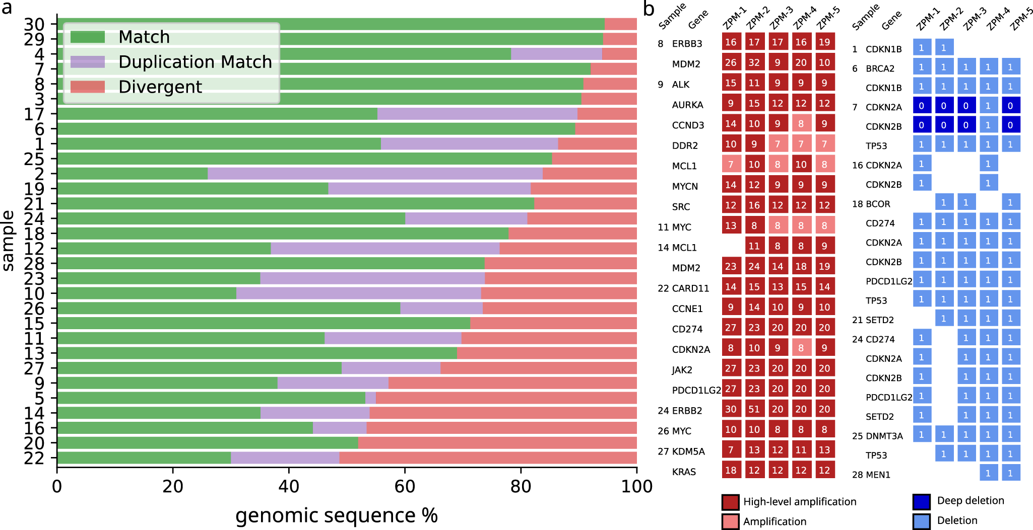
Fig. 4: Inter-institution concordance of CNA calls.
From: Multicentric pilot study to standardize clinical whole exome sequencing (WES) for cancer patients

a Samples were compared between all pairs of institutions and the genomic sequence was split into segments with concordant CN (green), segments with concordant CN after correction for genome duplication (purple), and discordant CN (red). b Inter-institution concordance of amplifications and deletions in the set of oncogenic/likely oncogenic (according to OncoKB) genes. Colored box = CNA detected with number referring to the detected CN with amplifications in red and deletions in blue.