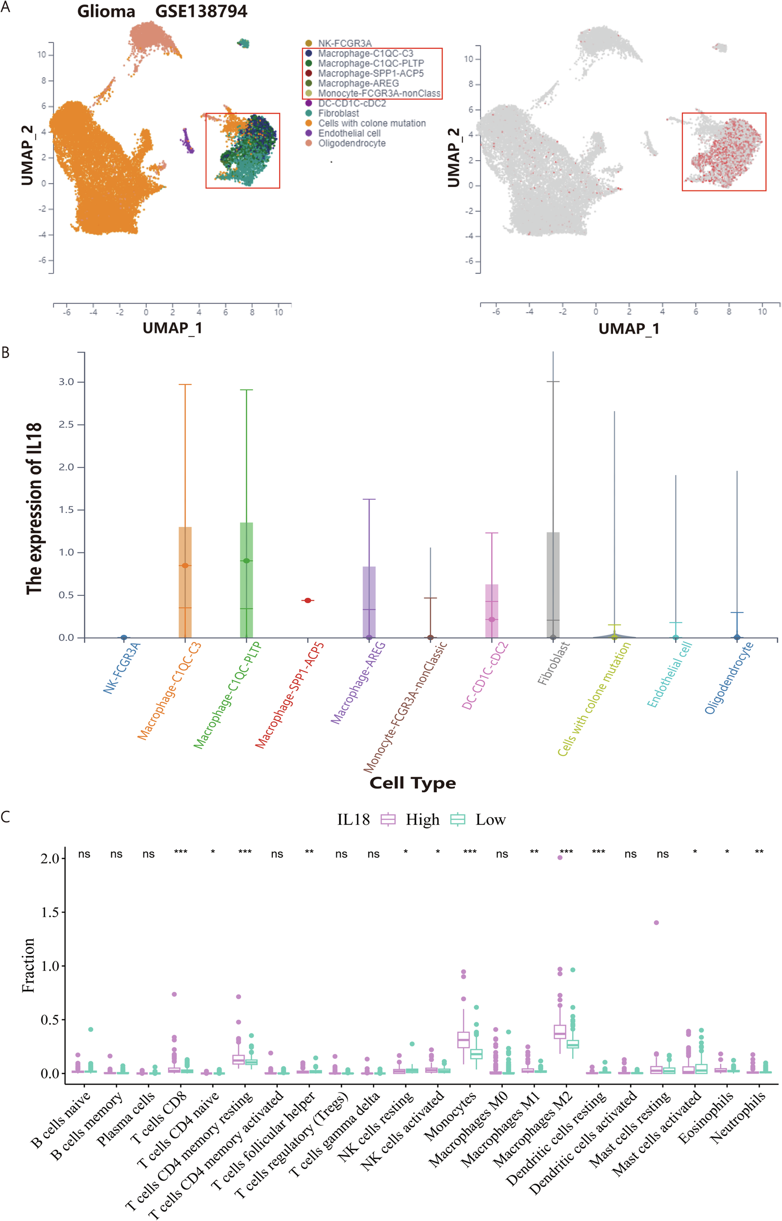
Fig. 3: Analysis of IL18 and immune cell infiltration in low-grade gliomas.

A Clustering analysis of 11 immune cells in glioma single-cell sequencing. B Expression and distribution of IL18 in 11 immune cells. C Immune cell infiltration (*p < 0.05, **p < 0.01, ***p < 0.001).