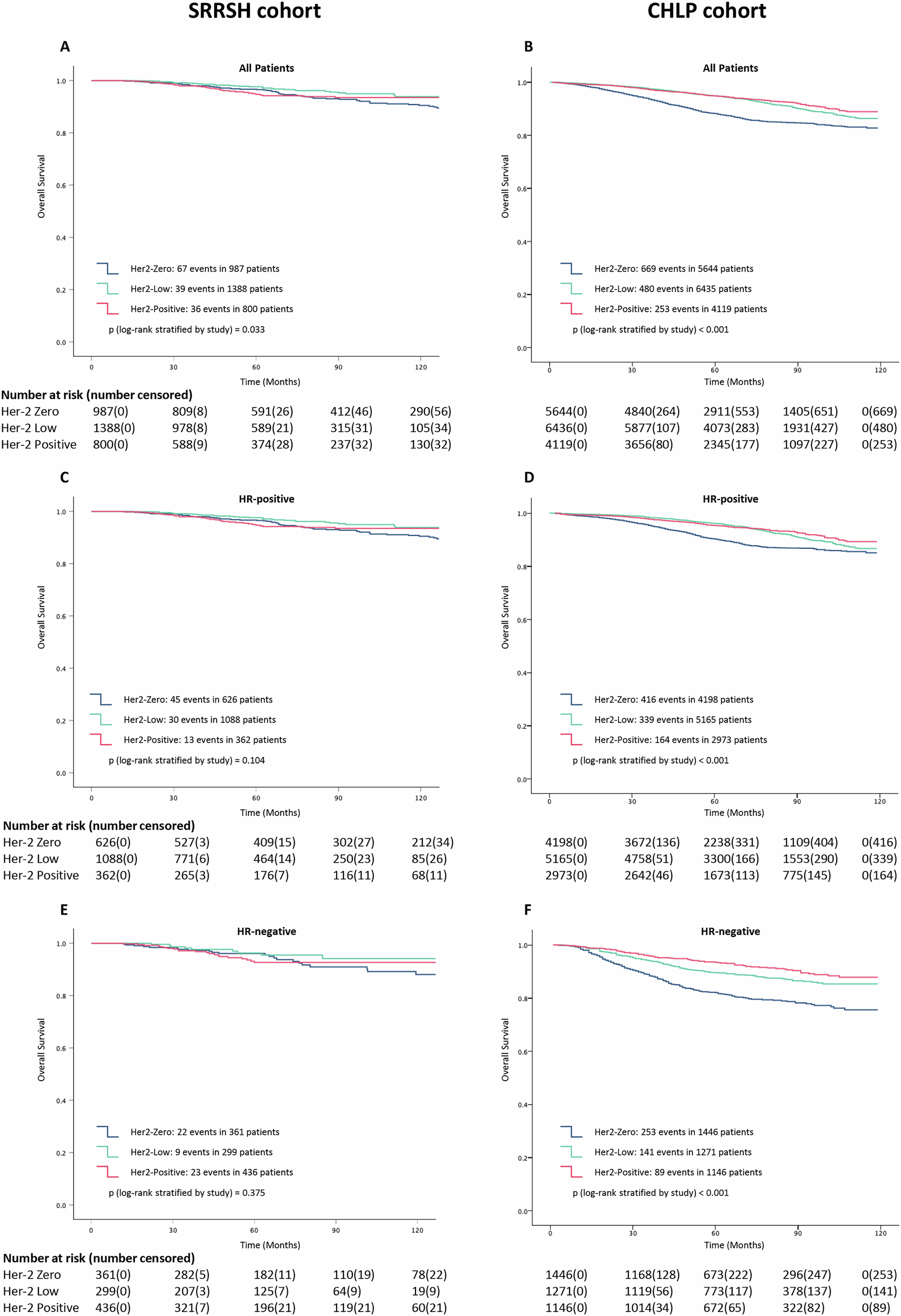
Fig. 1: Kaplan-Meier survival analysis for overall survival in SRRSH and CHLP cohorts.

Kaplan–Meier survival analysis for overall survival in A and B cohorts. Comparison of HER2-low, HER2-positive and HER2-zero breast cancer for complete cohort (A, B), hormone receptor-positive tumors (C, D), and hormone receptor negative tumors (E, F). p values are from the stratified log rank test.