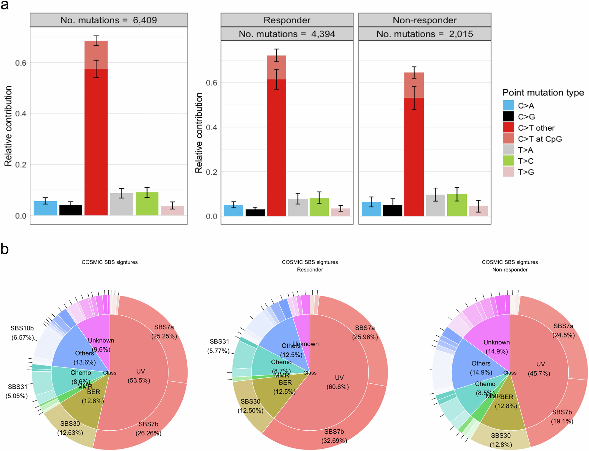
Fig. 3: Patients mutation profile and signature.

a SNV distribution in this cohort and across response status, where error bars indicate 95% confidence interval across samples. b Proportions of the most contributed SBS signature among patients. UV: Ultraviolet light exposure related SBS signatures. MMR: DNA mismatch repair related signatures. BER: DNA base excision repair related SBS signatures. Chemo: chemotherapy treatment related SBS signatures. Unknown: unknow SBS signatures. Others: other kinds of SBS signatures.