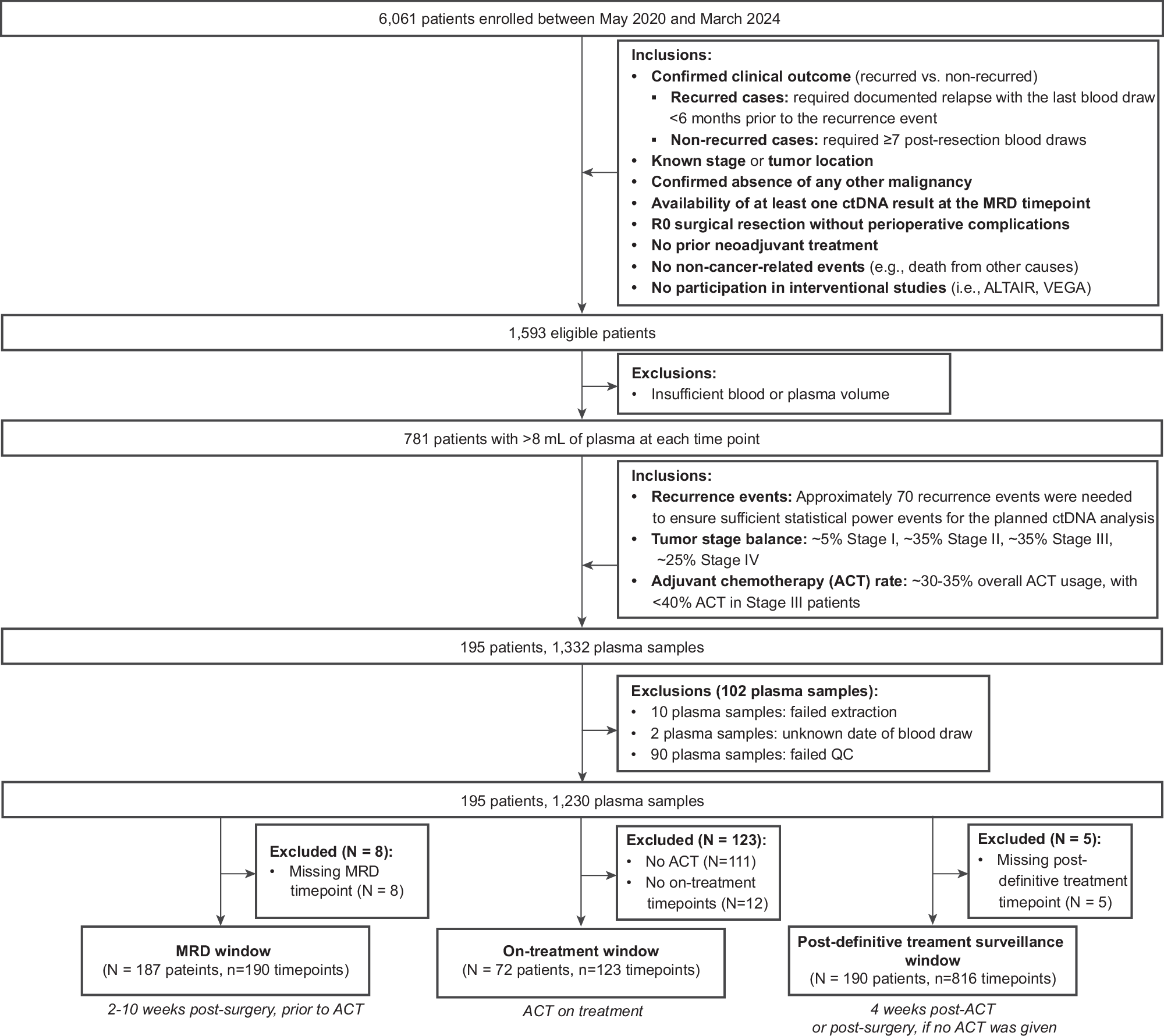
Fig. 1: Patient selection.

CONSORT diagram illustrating the inclusion of patients from enrollment to primary and subanalyses in this study.

CONSORT diagram illustrating the inclusion of patients from enrollment to primary and subanalyses in this study.