Fig. 3
From: Spatially controlled electrostatic doping in graphene p-i-n junction for hybrid silicon photodiode

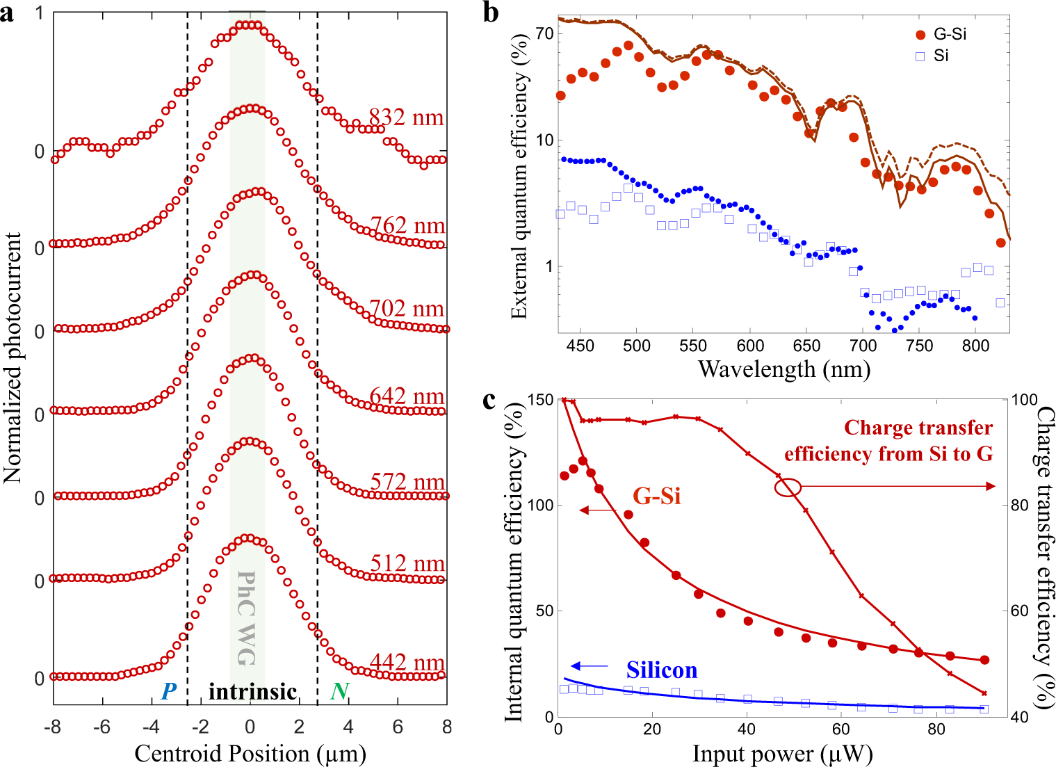
Wavelength and power dependence of photocurrent map. a Measured Photocurrent map across the graphene p-i-n junction from visible to near infrared wavelengths. The shadowed grey area highlights the PhC waveguide region. b Measured peak external quantum efficiency (EQE) versus wavelength for peak photocurrent of the graphene covered (red solid circles) and silicon part (blue empty squares) of the lateral junction. The spatial photocurrent profile is the same as shown in Fig. 2a. The absorption spectrum of 250 nm thick silicon photonic crystal structure is plotted in red solid curve. Single layer graphene would add 2% absorption (brown dashed curve). The dotted blue line is the theoretical prediction of EQE of intrinsic silicon photonic crystals without absorption. c Quantum efficiency for vertical junction of graphene-intrinsic silicon (brown solid circles), compared to the monolithic structure (blue empty squares). The internal emission efficiency from intrinsic silicon to graphene is plotted in the solid dot curve. The efficiency decreases at high optical power due to current saturation in graphene