Fig. 1
From: Thickness dependent electronic properties of Pt dichalcogenides

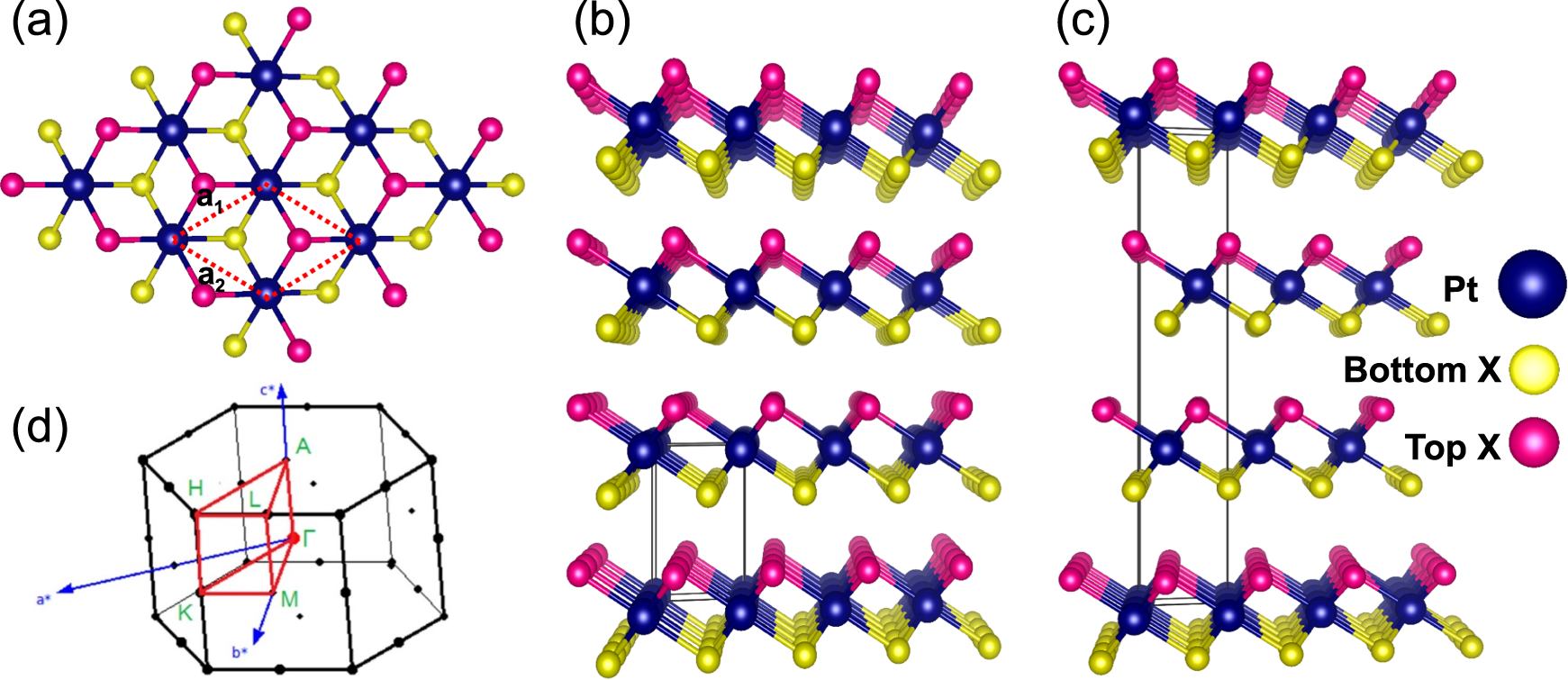
a Top view of the optimized bulk 1T layered structure. Side views of b 1T and c 3R PtX2 (X = S, Se, and Te). d First Brillouin Zone of a hexagonal lattice
From: Thickness dependent electronic properties of Pt dichalcogenides

a Top view of the optimized bulk 1T layered structure. Side views of b 1T and c 3R PtX2 (X = S, Se, and Te). d First Brillouin Zone of a hexagonal lattice