Fig. 4
From: Giant power factors in p- and n-type large-area graphene films on a flexible plastic substrate

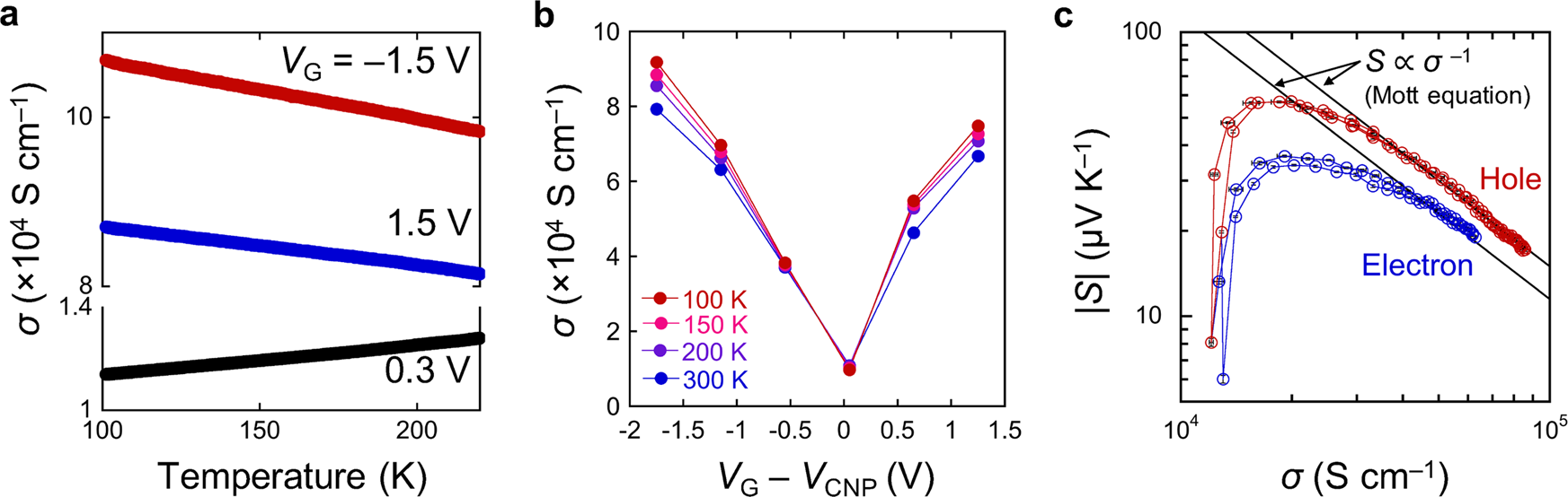
a The temperature dependences of electrical conductivity at gate voltages of –1.5, 0.3, and 1.5 V. The temperature range is set below 220 K, which is lower than the freezing temperature of the ionic gel film. b The electrical conductivities at various temperatures as a function of VG – VCNP. c The |S| – σ relationships in hole and electron carriers. The trend of S ∝ σ –1, which is explained by the Mott equation, is also indicated