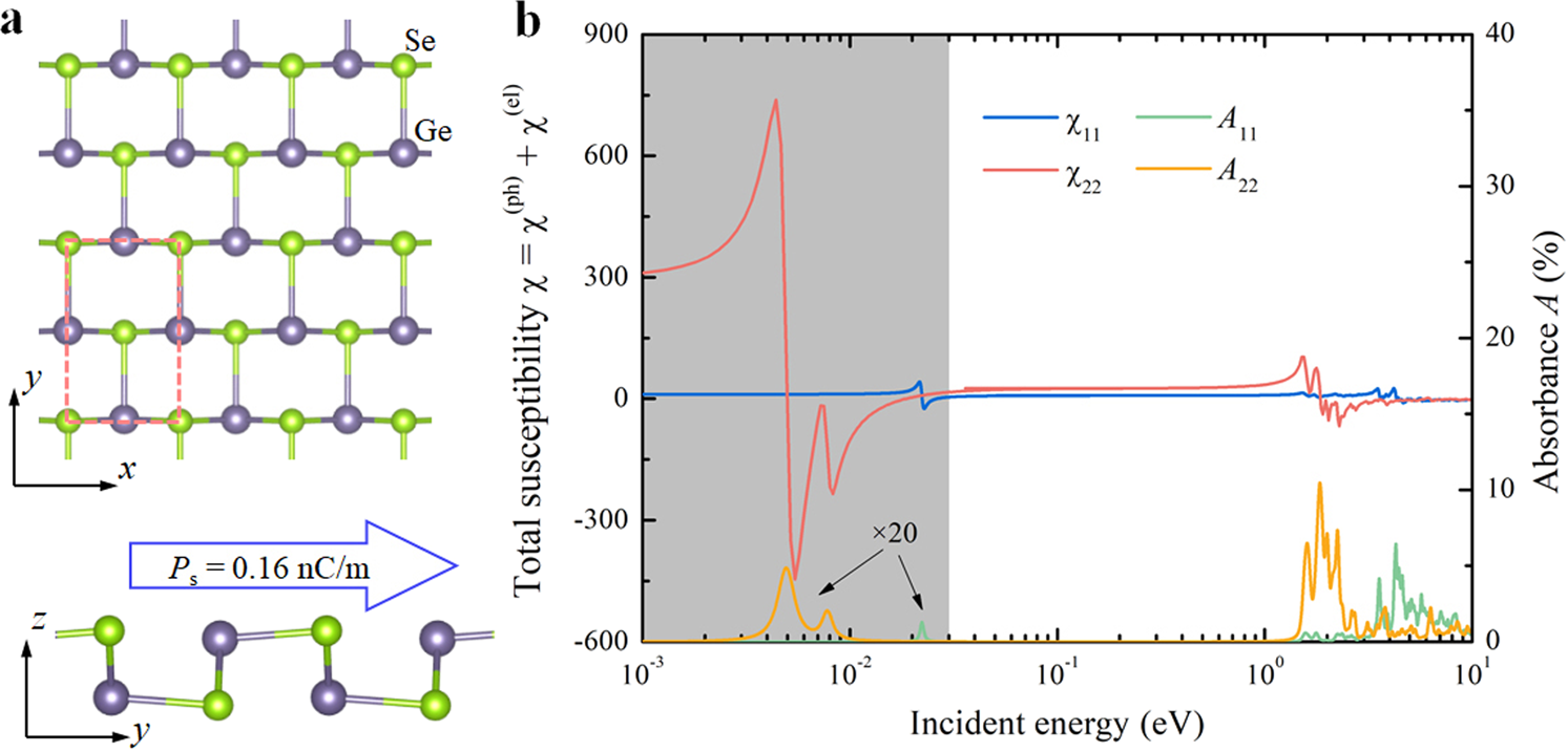
Fig. 2: Atomic and THz optical responses of monolayer β-GeSe.
From: Terahertz optics-driven phase transition in two-dimensional multiferroics

a Geometric structure of monolayer β-GeSe, with dashed rectangle indicating simulation unit cell. b Calculated real part of optical susceptibility and absorbance function with respect to incident energy. The gray shaded region indicates phononic range (<8 THz), above which the responses are mainly contributed from electronic subsystem. The absorbance in the phononic range is enlarged 20 times for clarity reasons. The subscripts “1” and “2” denote the Cartesian coordinates “x” and “y”, respectively.