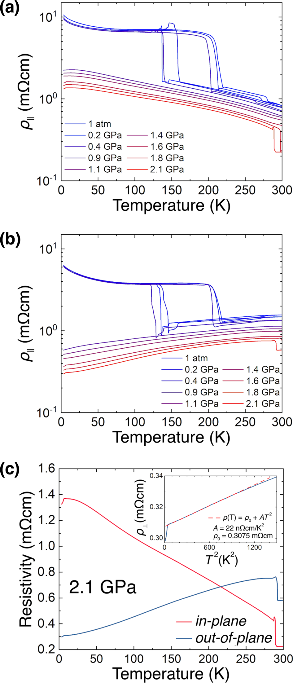
Fig. 3: High-pressure resistivity of 1T-TaS2.
From: Preferential out-of-plane conduction and quasi-one-dimensional electronic states in layered 1T-TaS2

a, b In-plane a and out-of-plane b electrical resistivities of 1T-TaS2 (ρǁ and ρ⊥, respectively) as functions of temperature for different applied hydrostatic pressures. c Temperature dependences of resistivities along the two directions at 2.1 GPa pressure. The inset shows a quadratic power-law fit to the out-of-plane resistivity between 7 K and 30 K.