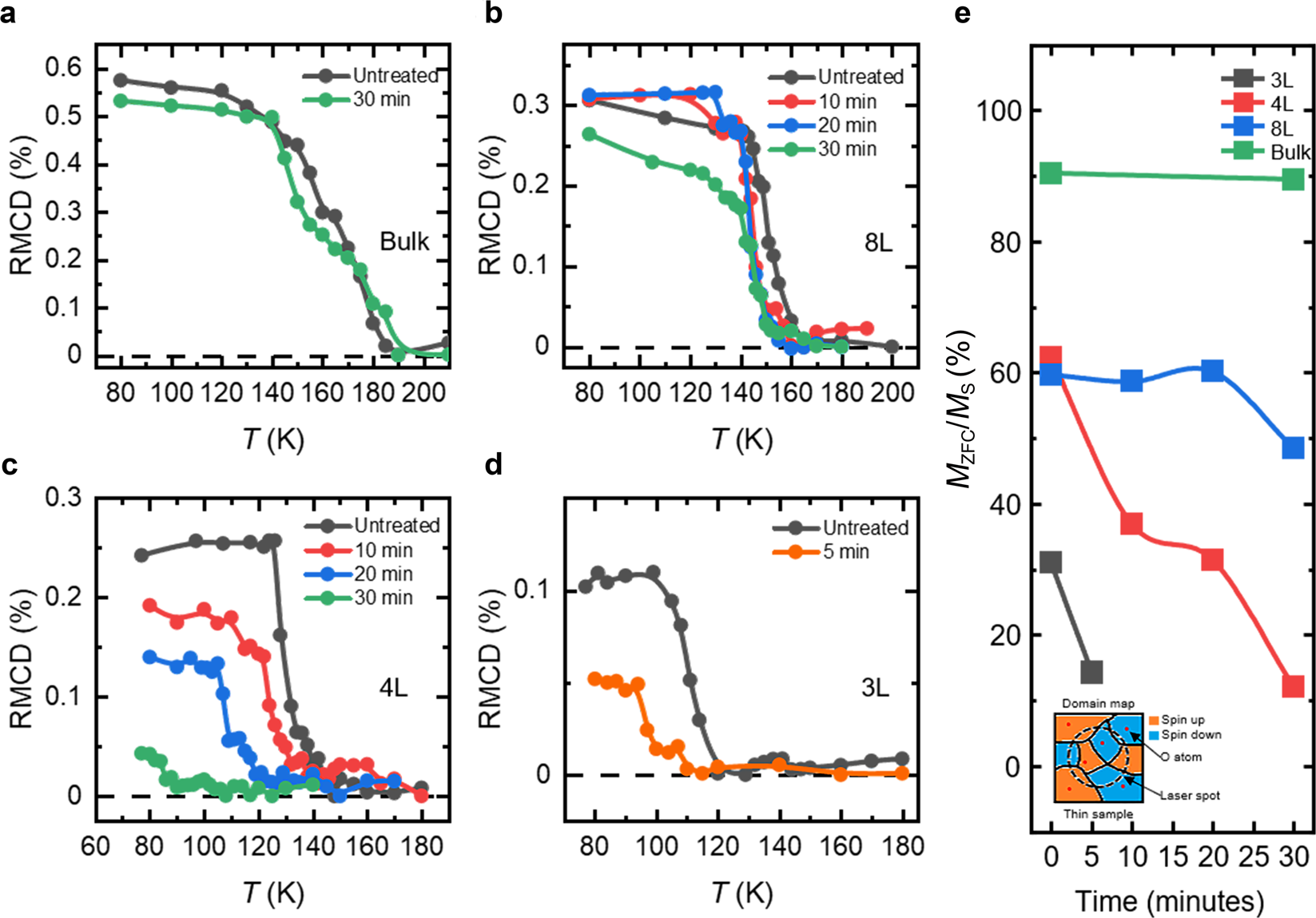
Fig. 2: Temperature-dependent RMCD of Fe3GeTe2 of different thicknesses with progressive treatments and the treatment- and thickness-dependent magnetic domain behaviors.
From: Ambient effect on the Curie temperatures and magnetic domains in metallic two-dimensional magnets

a–d Temperature-dependent RMCD of bulk, 8 L, 4 L, and 3 L Fe3GeTe2 with progressive treatments, respectively. The temperature-dependent measurements are done in the zero-field cooling process. e Ratio of the zero-field cooling induced magnetization and the saturated magnetization at 80 K as a dependence of the treatment duration for 8 L, 4 L, and 3 L Fe3GeTe2 samples, respectively. For bulk samples, the data in (e) is taken at 120 K, as the coercivity field of bulk Fe3GeTe2 at 80 K becomes larger than our affordable magnetic field. The inset of (e) is an illustration of multiple magnetic domains in 2D Fe3GeTe2, promoted by the oxygen adsorbates.