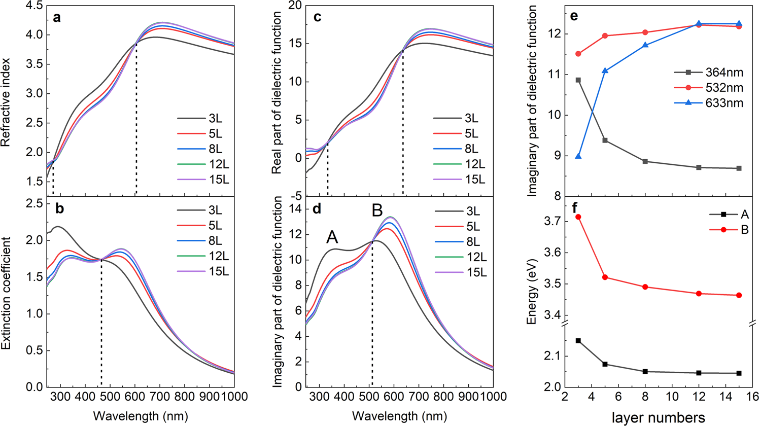
Fig. 4: Optical properties of PdSe2 with different layer numbers.

a Refractive index. b Extinction coefficient. c The real part of the dielectric function. d The imaginary part of the dielectric function. e Correlation between εi and layer numbers at three commonly used laser wavelengths. f Correlation between the central energy of exciton peaks and layer numbers.