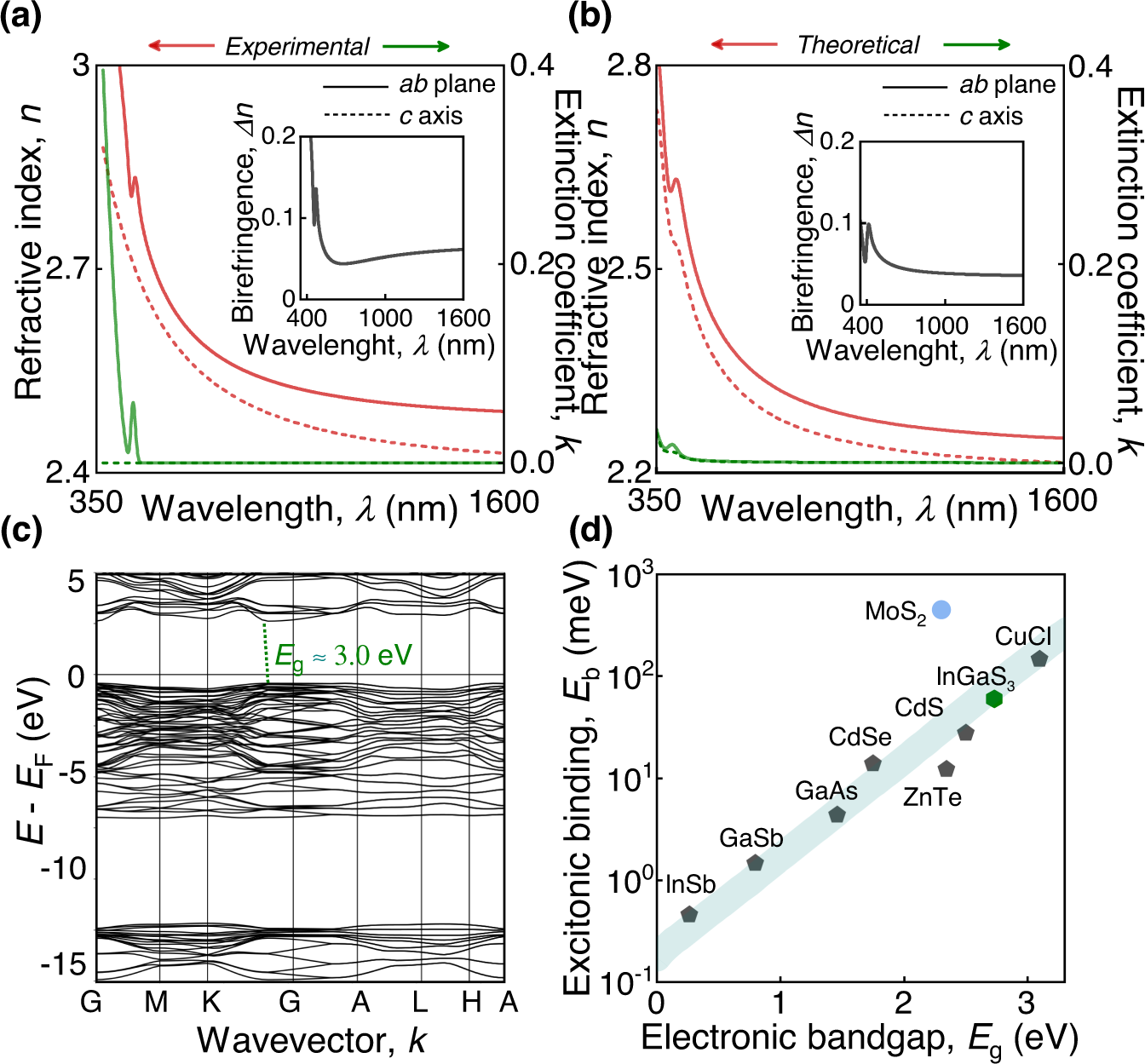
Fig. 3: Optical response of non-van der Waals InGaS3.
From: High-refractive index and mechanically cleavable non-van der Waals InGaS3

a Experimental and b first-principle refractive indices and extinction coefficients for ab-plane (straight line) and c-axis (dashed line) of commensurate values and trends validating the hexagonal structure of InGaS3 (see Fig. 1(a (inset) and d)). Insets: material’s birefringence. c Electronic bandstructure from the first-principle calculations. Fermi energy (EF) is shifted to zero for clarity. Electronic bandgap is of Eg = 3 eV. d Excitonic binding energy versus electronic bandgap in traditional semiconductor materials. For a comparison, we also included the corresponding data for MoS2 monolayer55.