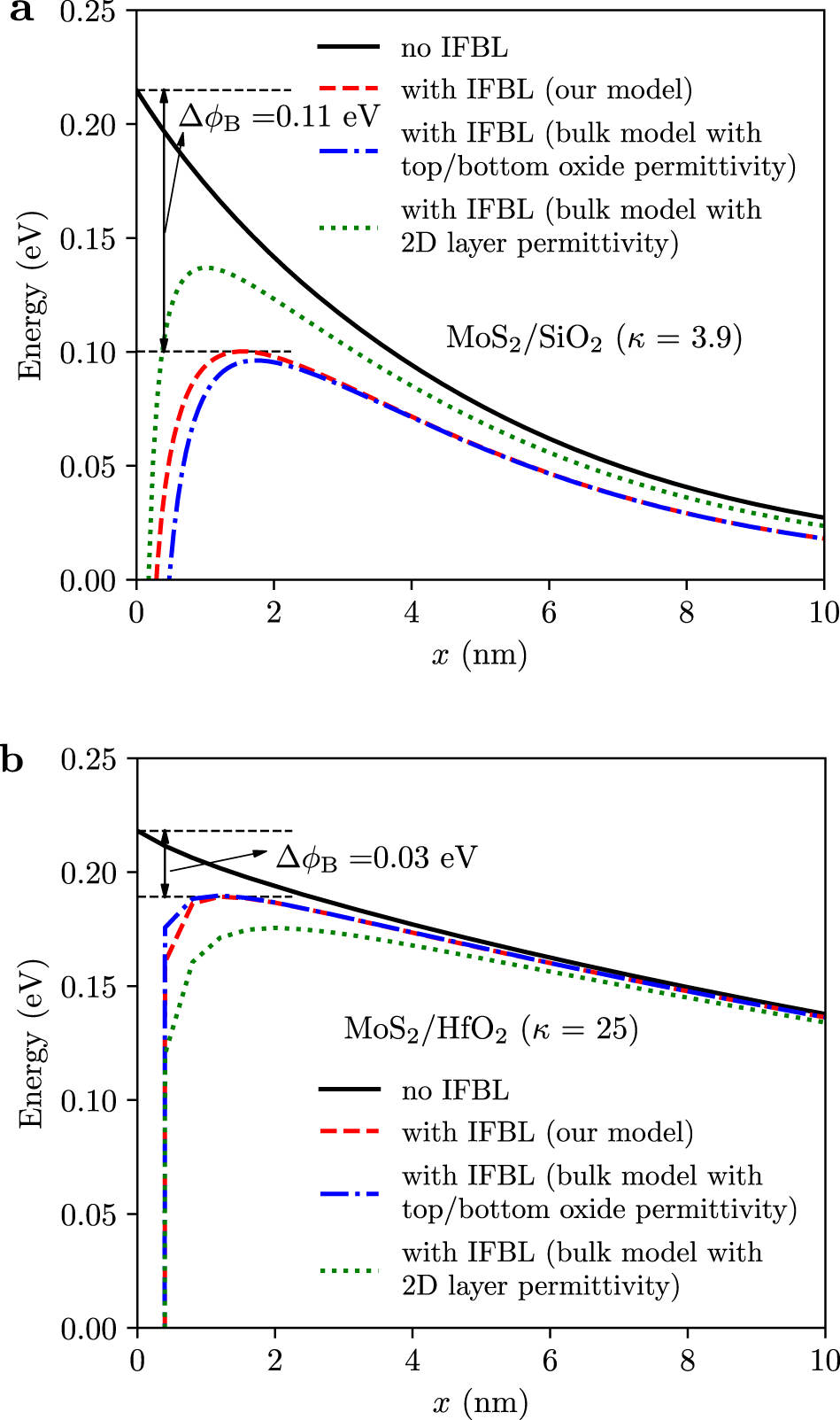
Fig. 4: Image-force barrier-lowered potential energy.

Potential energy along the center of the monolayer calculated ignoring image-force barrier-lowering (black solid line), the “correct” 2D solution (red dashed line) using our model, and the bulk model for the barrier lowering (blue dashed-dot and green dotted lines, using TMD and insulator permittivity, respectively), at a Schottky-barrier height of 0.3 eV and a doping concentration ND = 1 × 1012 cm−2, assuming the same top and bottom dielectric materials which are a SiO2 and b HfO2. ΔϕB denotes the barrier lowering.